• Предмет: Математика
  • Автор: gold8833
  • Вопрос задан 8 лет назад

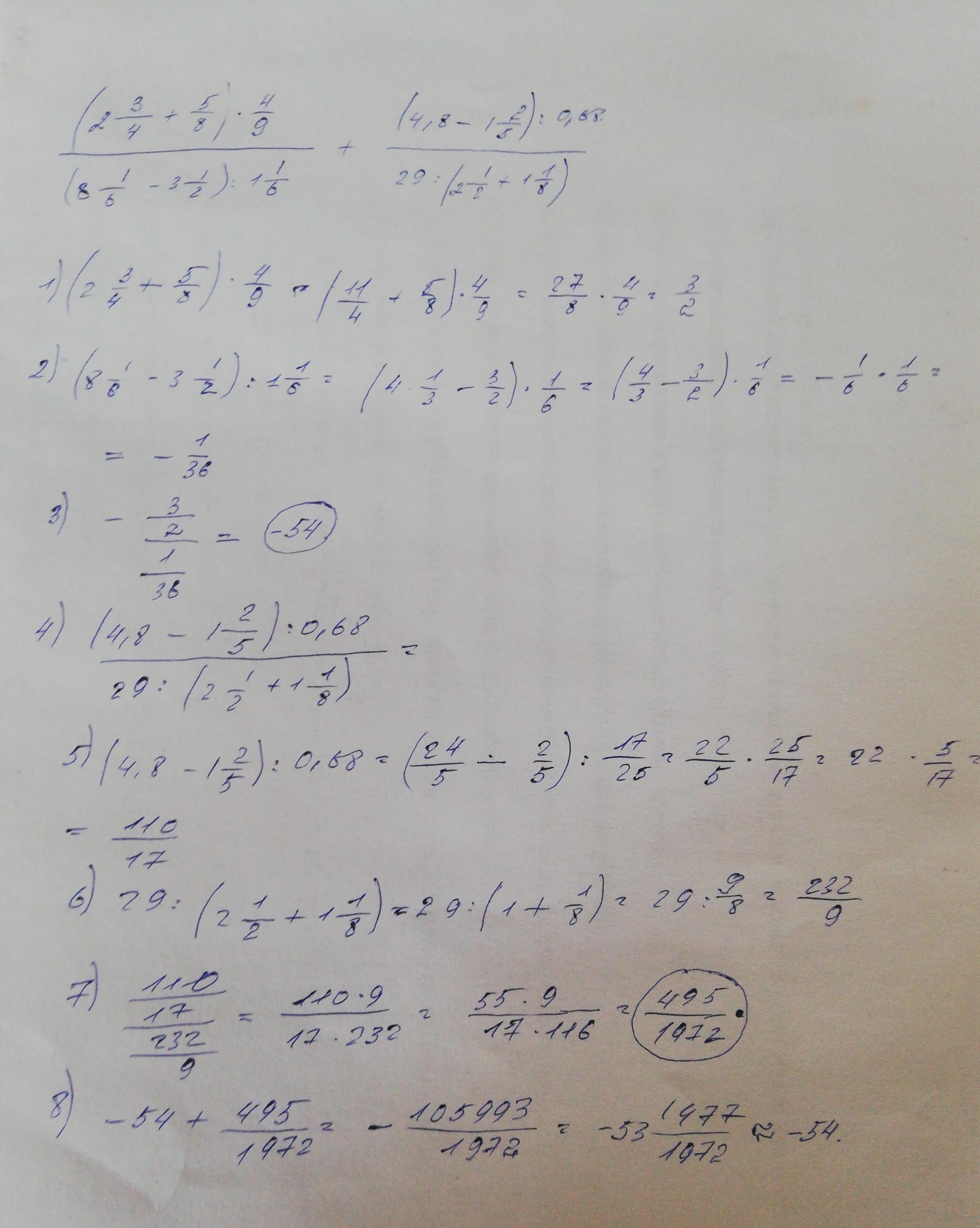
Решите пожалуйста




25 баллов​

Приложения:

Ответы

Ответ дал: picul369
0

Ответ:

1)2 3/4+5/8=27/8умножить4/9=108/72

2)8 1/6-3 1/2=28/6:7/6=3/1

3)108/72:3/1=108/216

4)4,8-1 2/5=36/10

5)36/10:0,68=36/68

6)2 1/2+1 1/8=29/8

7)29:29/8=8

8)108/216+8=1836/216

Ответ дал: gold8833
0
должно 1 выйти
Ответ дал: picul369
0
1 не получится
Ответ дал: jrzxyupv
0

°°°°°°°°°°°°°°°°°°°°

Приложения:
Ответ дал: gold8833
0
ответ 1 должен быть
Ответ дал: jrzxyupv
0
:'|
Ответ дал: jrzxyupv
0
мм
Вас заинтересует