• Предмет: Алгебра
  • Автор: BlueTealies
  • Вопрос задан 8 лет назад

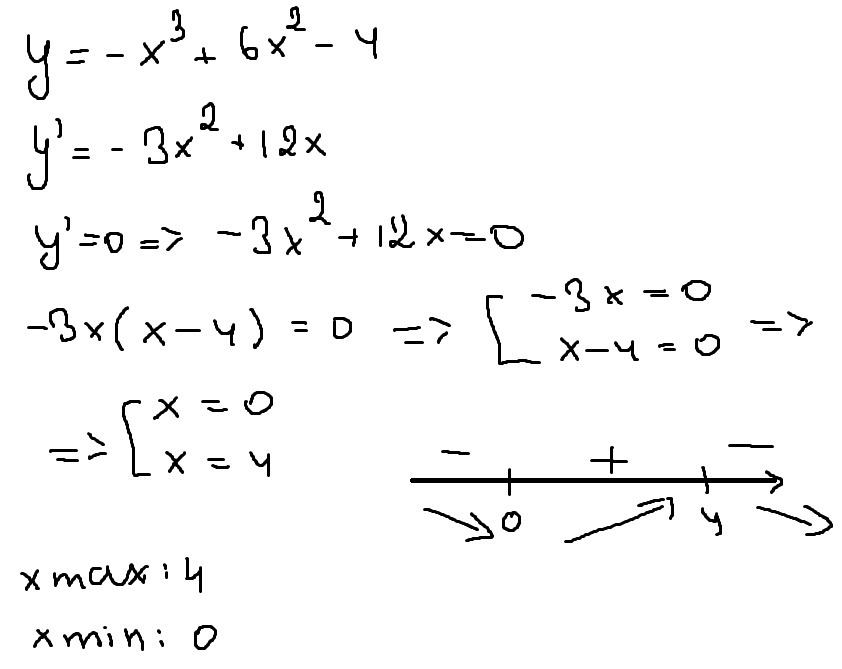
Исследуйте функцию на монотонность и экстремумы:
y=-x^3+6x^2-4
(С объяснением, если можно)

Ответы

Ответ дал: dimaogol2000
0

...............................................

Приложения:
Вас заинтересует