Ответы
Ответ дал:
0
Ответ:
Пошаговое объяснение:
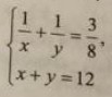
единственное решение первой сис. 1/4+1/8
х=4
у=8
Ответ дал:
0
получится два ответа
Приложения:

Вас заинтересует
2 года назад
3 года назад
3 года назад
8 лет назад
8 лет назад
9 лет назад