• Предмет: Алгебра
  • Автор: yulyakonkova7
  • Вопрос задан 8 лет назад

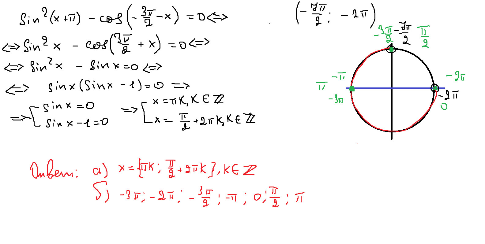
а) решить уравнение
б) указать корни на отрезке (-7п/2;-2п)

sin^2 (x+п)-cos(-3п/2-x)=0

Ответы

Ответ дал: dimaogol2000
0

..........................................................

Приложения:
Вас заинтересует