• Предмет: Алгебра
  • Автор: strateg149
  • Вопрос задан 8 лет назад

Срочно! Помогите!Даю 25 баллов​

Приложения:

Ответы

Ответ дал: NNNLLL54
0

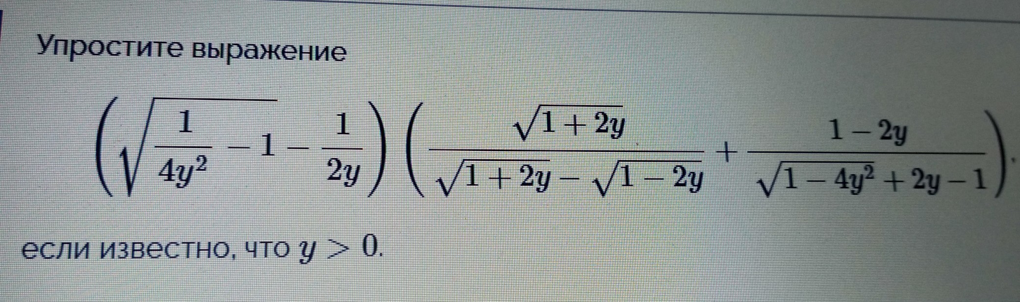
; ; y>0\\Big (sqrt{frac{1}{4y^2}-1}-frac{1}{2y}Big )cdot Big (frac{sqrt{1+2y}}{sqrt{1+2y}-sqrt{1-2y}}+frac{1-2y}{sqrt{1-4y^2}+2y-1}Big )=\\=Big (sqrt{frac{1-4y^2}{4y^2}}-frac{1}{2y}Big )cdot Big (frac{sqrt{1+2y}}{sqrt{1+2y}-sqrt{1-2y}}}+frac{1-2y}{sqrt{(1-2y)(1+2y)}-(sqrt{1-2y})^2}Big )=\\

frac{sqrt{1-4y^2}, -1}{2y}cdot Big (frac{sqrt{1+2y}}{sqrt{1+2y}-sqrt{1-2y}}+frac{(sqrt{1-2y})^2}{sqrt{1-2y}cdot (sqrt{1+2y}-sqrt{1-2y})}}Big )=\\=frac{sqrt{1-4y^2}, -1}{2y}cdot frac{sqrt{1+2y}+sqrt{1-2y}}{sqrt{1-2y}-sqrt{1+2y}}=frac{(sqrt{1-4y^2}, -1)cdot (sqrt{1-2y}+sqrt{1+2y})^2}{2ycdot ((1-2y)-(1+2y))}=\\=frac{(sqrt{1-4y^2}-1)cdot (1-2y+1+2y+2sqrt{(1-2y)(1+2y)})}{2ycdot (-4y)}=\\=frac{(sqrt{1-4y^2}-1)(2+2sqrt{1-4y^2})}{-8y^2}=frac{2cdot (sqrt{1-4y^2}-1)(1+sqrt{1-4y^2})}{-8y^2}=\\=frac{2cdot (1-4y^2-1)}{-8y^2}=frac{-8y^2}{-8y^2}=1

Вас заинтересует