Ответы
Ответ дал:
0
ответ на фотографии.
Приложения:

Ответ дал:
0
спасибо
Ответ дал:
0
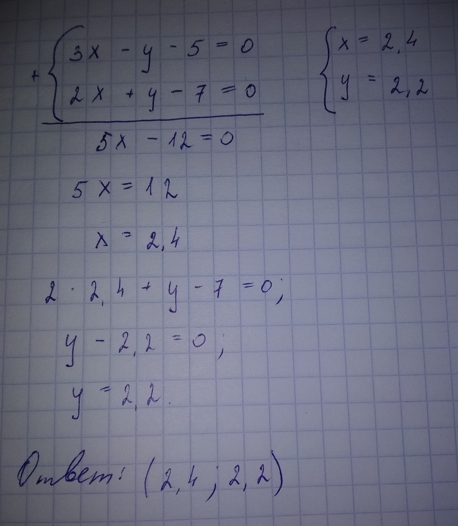
3x-y-5=0
2x+y-7=0
сложим
5х-12=0
5х=12
х=12:5
х=2,4
у=7-2х=7-4,8=2,2
(2,4;2,2)
Приложения:

Ответ дал:
0
благодарю
Ответ дал:
0
пожалуйста!!111
Вас заинтересует
2 года назад
3 года назад
3 года назад
8 лет назад
8 лет назад
9 лет назад