Ответы
Ответ дал:
0
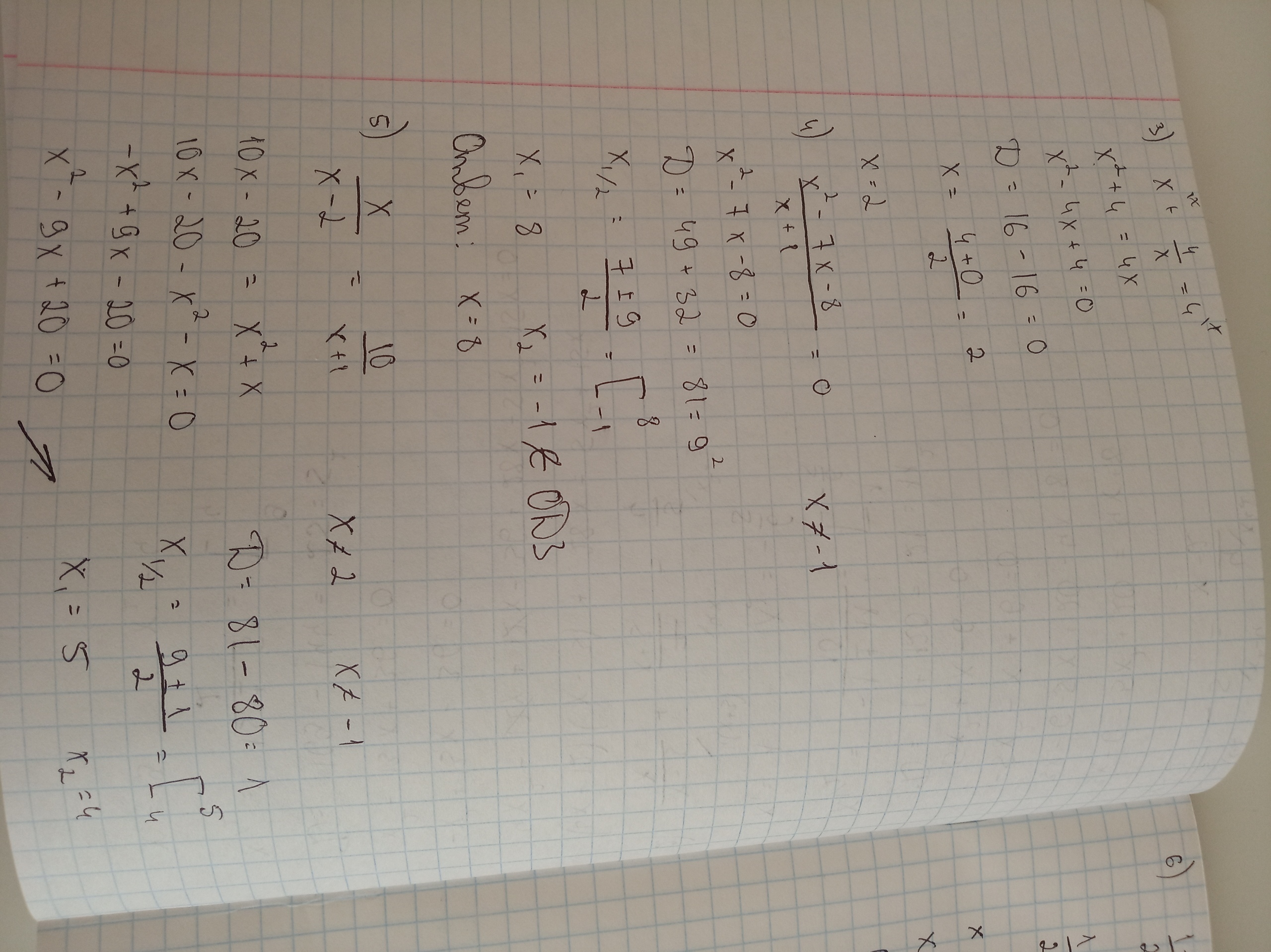
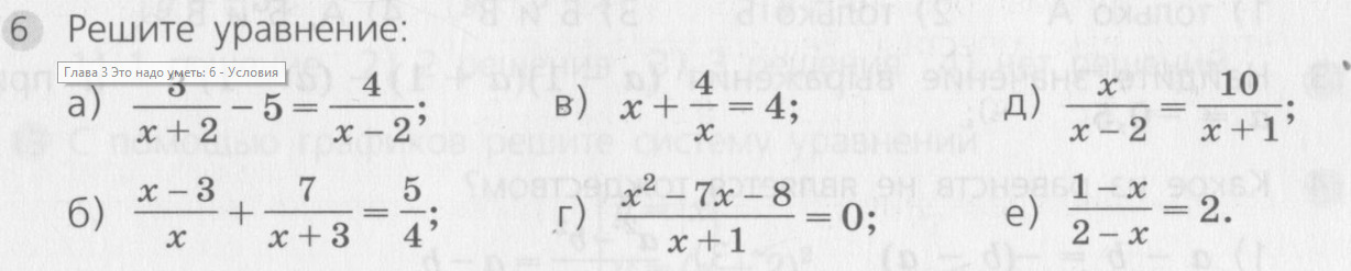
Задание
решите уравнения, заранее спасибо
Приложения:



Ответ дал:
0
спасибо
Вас заинтересует
2 года назад
3 года назад
3 года назад
8 лет назад
9 лет назад
9 лет назад