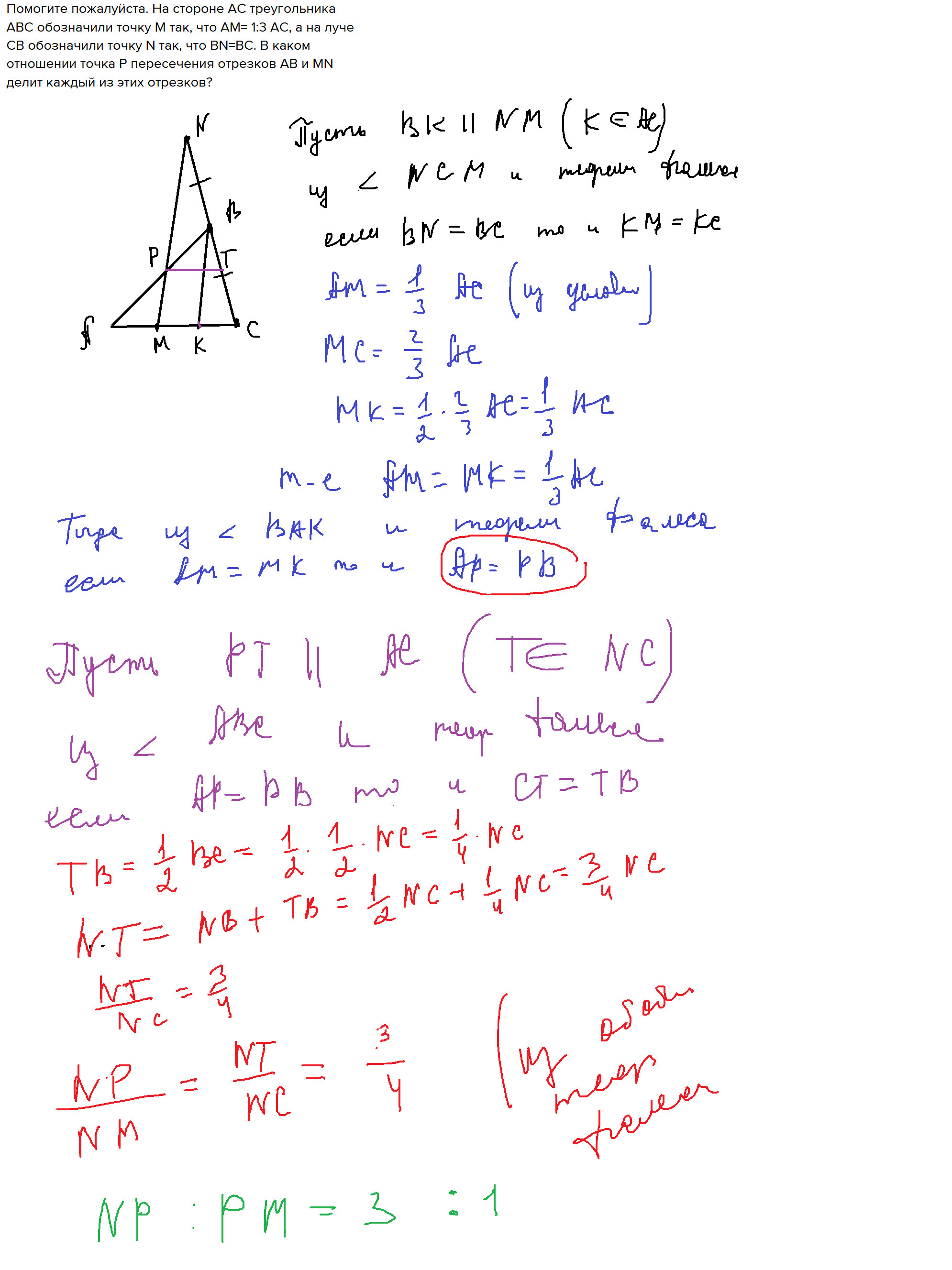
Помогите пожалуйста. На стороне AC треугольника ABC обозначили точку M так, что AM= 1:3 АС, а на луче СВ обозначили точку N так, что ВN=ВС. В каком отношении точка Р пересечения отрезков АВ и МN делит каждый из этих отрезков?
Ответы
Ответ дал:
0
Помогите пожалуйста. На стороне AC треугольника ABC обозначили точку M так, что AM= 1:3 АС, а на луче СВ
Приложения:

Вас заинтересует
2 года назад
2 года назад
3 года назад
8 лет назад
8 лет назад
9 лет назад
9 лет назад