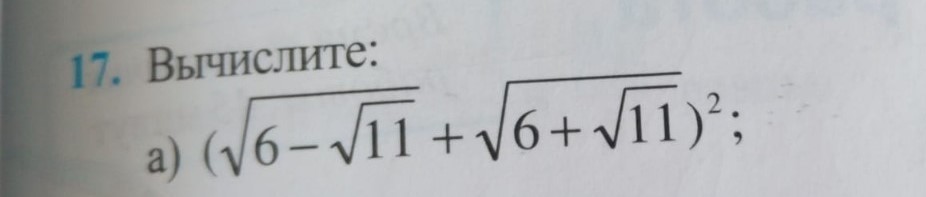
Кто понимает как это вычислить? Помогите пожалуйста , очень нужно , срочно( фото в приложении)
Приложения:

Ответы
Ответ дал:
0
Вот. Надеюсь понятно
Приложения:

Вас заинтересует
2 года назад
2 года назад
3 года назад
3 года назад
8 лет назад
9 лет назад
9 лет назад