• Предмет: Математика
  • Автор: Lolikknopik
  • Вопрос задан 8 лет назад

Помогите, пожалуйста!
Решение обязательно...

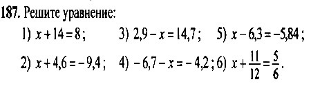
Приложения:

Ответы

Ответ дал: Didar104
0

Ответ:

1) x=8-14;x=-6

2)x+4,6=-9,4;x=-9,4-4,6; x=-14

3)2,9-x=14,7; -x=14,7-2,9; x=-11,8

4)-6,7-x=-4,2;-x=-4,2+6,7;x=-2,5

5)x-6,3=-7,84;x=-7,84+6,3;x=-1,54

6)x+11/12=5/6;x=5/6-11/12;x=1/12

Пошаговое объяснение:

Вас заинтересует