Ответы
Ответ дал:
0
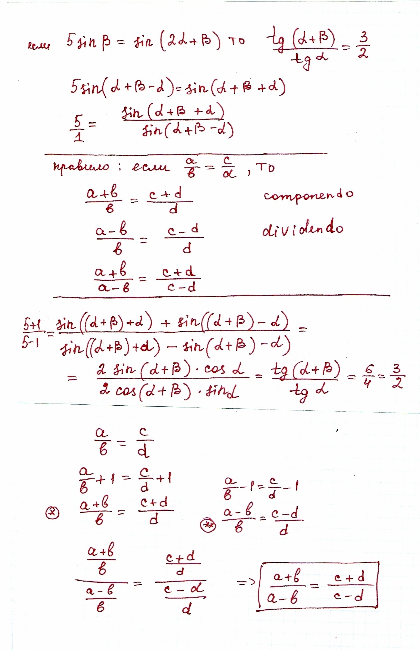
ответ на фото\\\\\\\\\\\\\\\\\\\\\\
Приложения:

Вас заинтересует
3 года назад
8 лет назад
9 лет назад