• Предмет: Математика
  • Автор: Didar104
  • Вопрос задан 8 лет назад

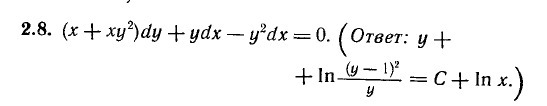
Помогите с высшей математикой пожалуйста,очень нуждаюсь :)
(полное решение нужно)
Даю 10 баллов :)

Приложения:

Ответы

Ответ дал: HSS9860
0

Рассмотрите решение для этого ДУ с разделяющимися переменными.

Приложения:
Вас заинтересует