• Предмет: Математика
  • Автор: bdhd26
  • Вопрос задан 8 лет назад

Пожалуйста 553 номер!!!​

Приложения:

Ответы

Ответ дал: parus77
0

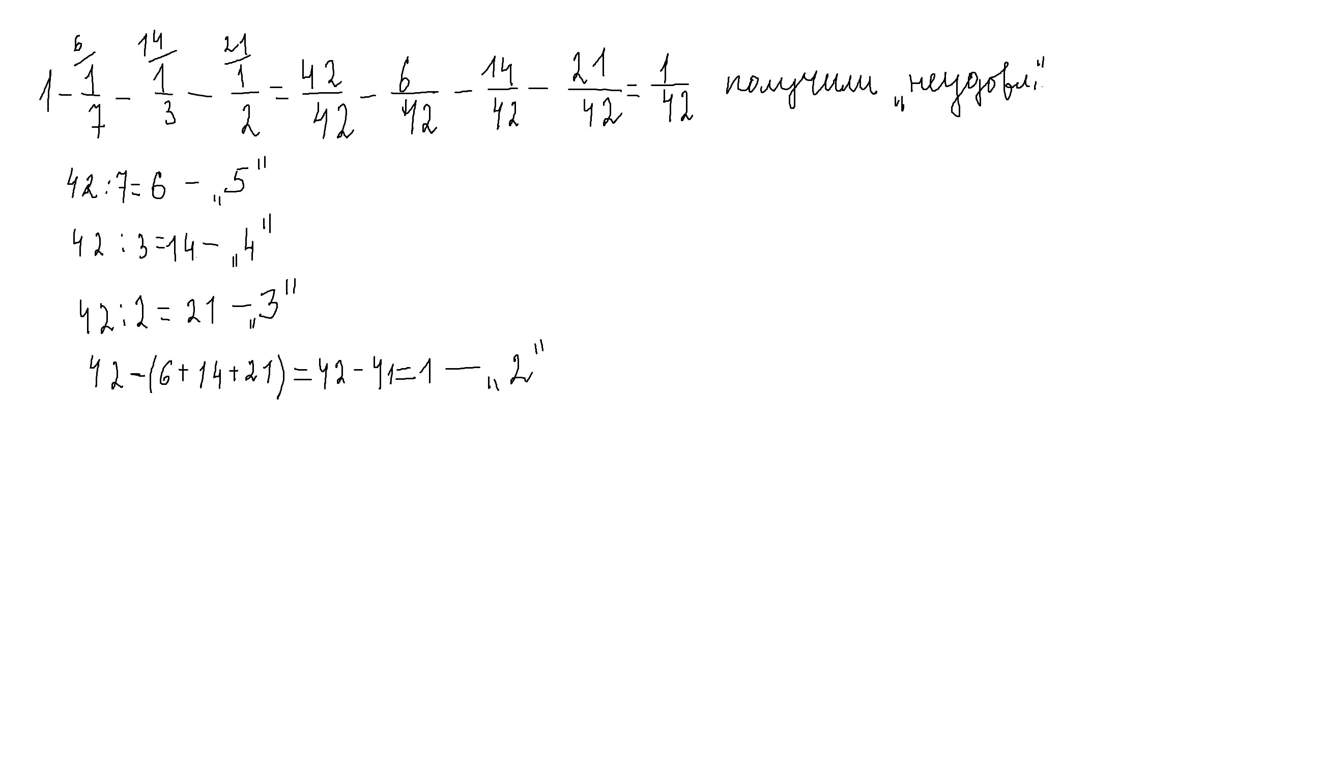
Ответ:  неудовлетворительную оценку получил 1 ученик

надо найти такое число,чтобы оно было меньше 50 и делилось на 2;на 3 и на 7

НОК(2;3;7)=2*3*7=42  

пусть все ученики в классе это 1 или 4242,потому что нам надо от нее отнимать дроби со знаменателем 42.

Приложения:
Вас заинтересует