• Предмет: Математика
  • Автор: vlapron
  • Вопрос задан 8 лет назад

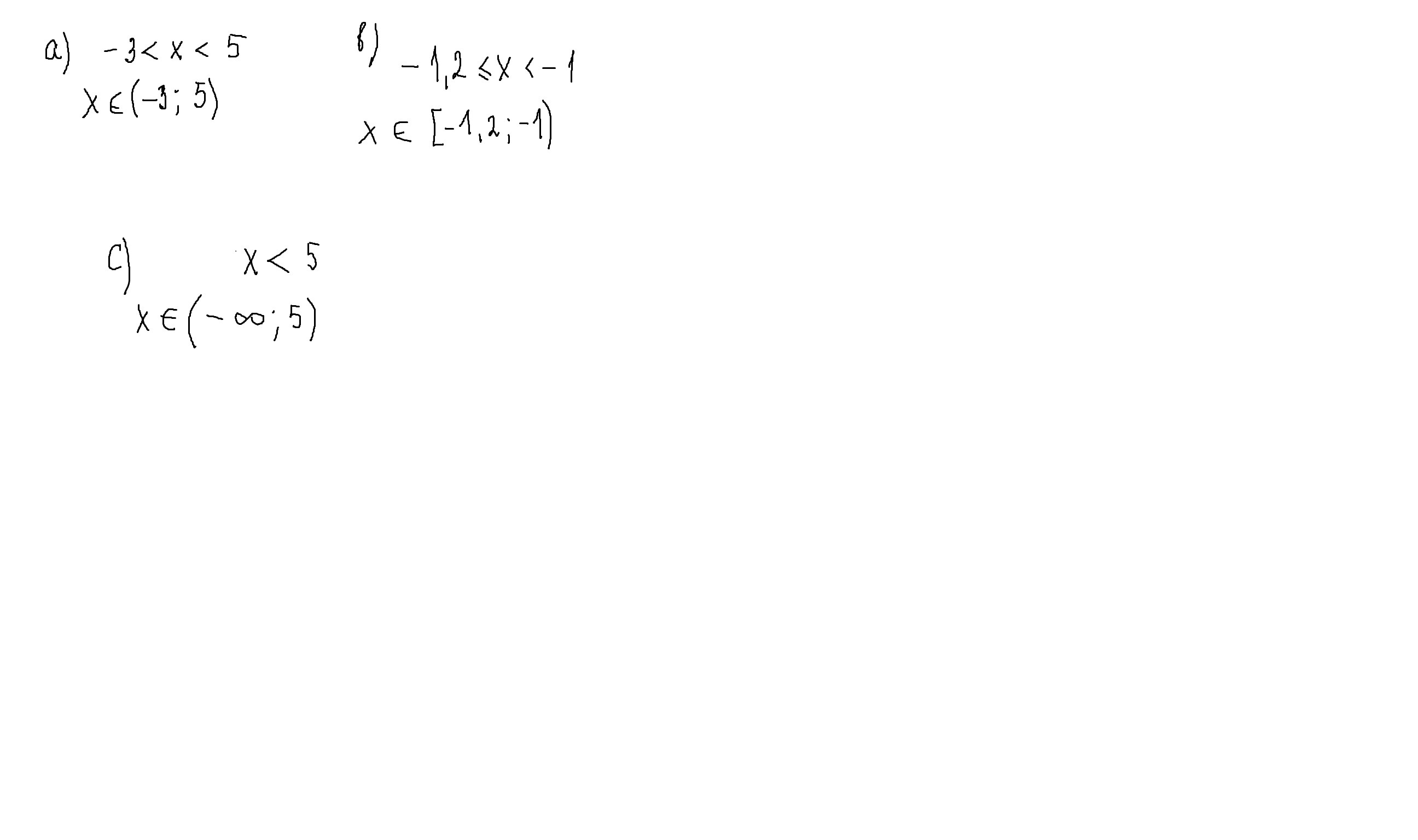
Запишите в виде наравенства и в виде числового промежутка множество, изображенное на кардинатной прямой​

Приложения:

Ответы

Ответ дал: parus77
0

Ответ:

Пошаговое объяснение:

если точка не закршена,там неравенство строгое(< >)и скобка круглая,если точка закрашена,то неравенство нестрогое( ≤ ≥)и скобка квадратная.

Приложения:
Вас заинтересует