Ответы
Ответ дал:
0
вот правильный ответ
Приложения:

Ответ дал:
0
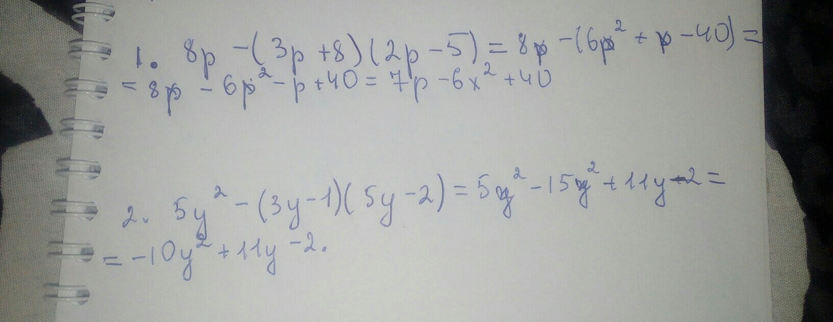
а)8р-(6р^2-15р+16р-40)
8р-(6р^2+р-40)
8р-6р^2р+40
7р-6р^2+40
-6р^2+7р+40
б)5у^2-(15у^2-6у-5у+2)
5у^2-(15у^2-11у+2)
5у^2-15у^2+11у-2
-10у^2+11у-2
Приложения:

Вас заинтересует
2 года назад
3 года назад
3 года назад
8 лет назад
9 лет назад