• Предмет: Алгебра
  • Автор: lili22270
  • Вопрос задан 8 лет назад

СРОЧНО!!!НУЖНА ПОМОЩ!!!

Приложения:

Ответы

Ответ дал: иришка36177
0

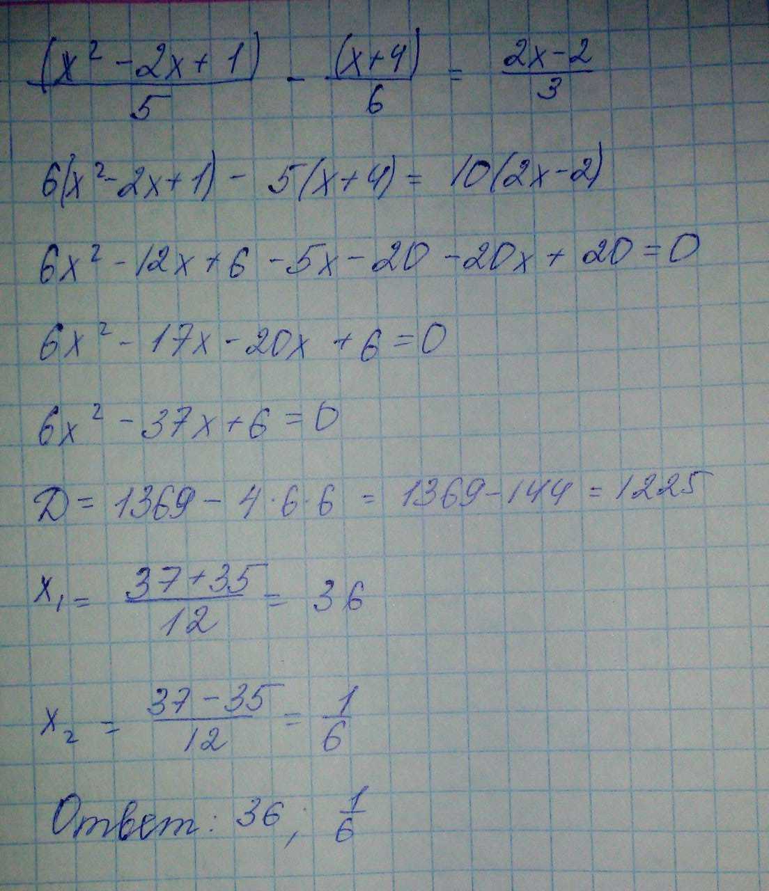
если что-то непонятно с почерком, говори, я напишу.

Приложения:
Вас заинтересует