• Предмет: Алгебра
  • Автор: Хахамэн
  • Вопрос задан 8 лет назад

Помогите пожалуйста! Розкласти на множники

Приложения:

Ответы

Ответ дал: иришка36177
0

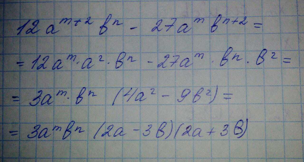
написать тут не смогла, т.к. нет степени m и n

поэтому вот фотография

Приложения:
Ответ дал: lisapidberezhnp6gf3g
0

12a^m+2×b^n - 27a^m×b^n+2 = 3a^m×b^n(4a^m+1 - 9b^n+1) = =3a^m×b^n(2a^m - 3b^n)(2a^m+3b^n) но это не точно

Приложения:
Ответ дал: иришка36177
0
чуть неправильно после первого знака равенства
Вас заинтересует