• Предмет: Математика
  • Автор: ivan4ik70
  • Вопрос задан 8 лет назад

Вот тот очень длинный пример плз

Приложения:

Ответы

Ответ дал: parus77
0

Ответ:  5

Пошаговое объяснение:

решение смотри внизу

Приложения:
Ответ дал: 1NaStUsHa1
0

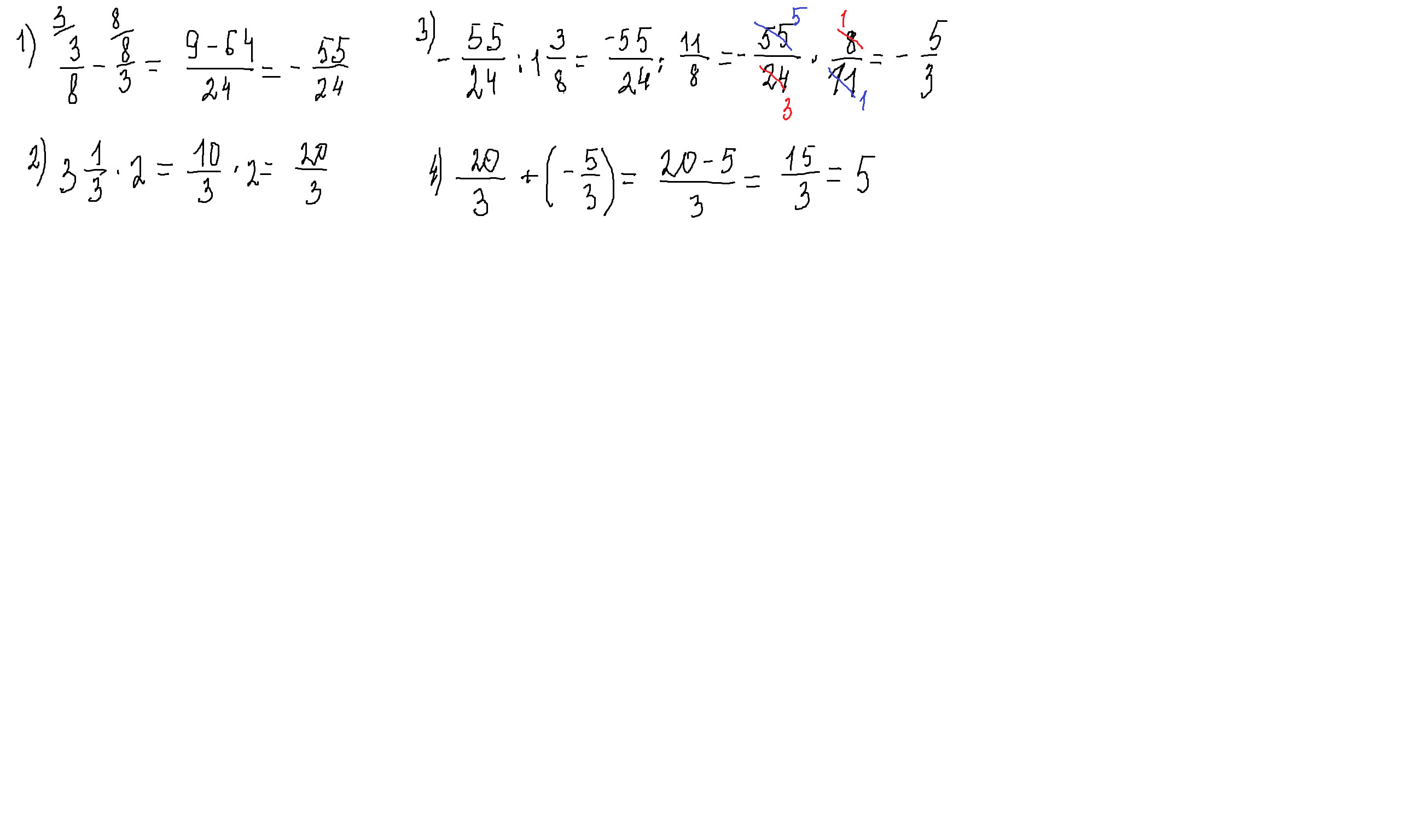
3/8-8/3=-55/24

3 1/3*2=20/3

-55/24:1 3/8=-55/24*8/11=-5/3

20/3-5/3=15/3=5

Приложения:
Ответ дал: 1NaStUsHa1
0
почему же ошибка? 3 1/3*2=10/3*2=20/3
Ответ дал: parus77
0
до этого было 183 и потом вы от 6 - 53.......
Ответ дал: parus77
0
исправили же решение,зачем возмущаться....
Ответ дал: parus77
0
21:42 1NaStUsHa1 отредактировала решение ......
Ответ дал: 1NaStUsHa1
0
Никто не возмущался) Я просто отредактировала раньше, чем вы оставили комментарий. Поэтому было непонятно, где вы нашли ошибку.
Вас заинтересует