Ответы
Ответ дал:
0
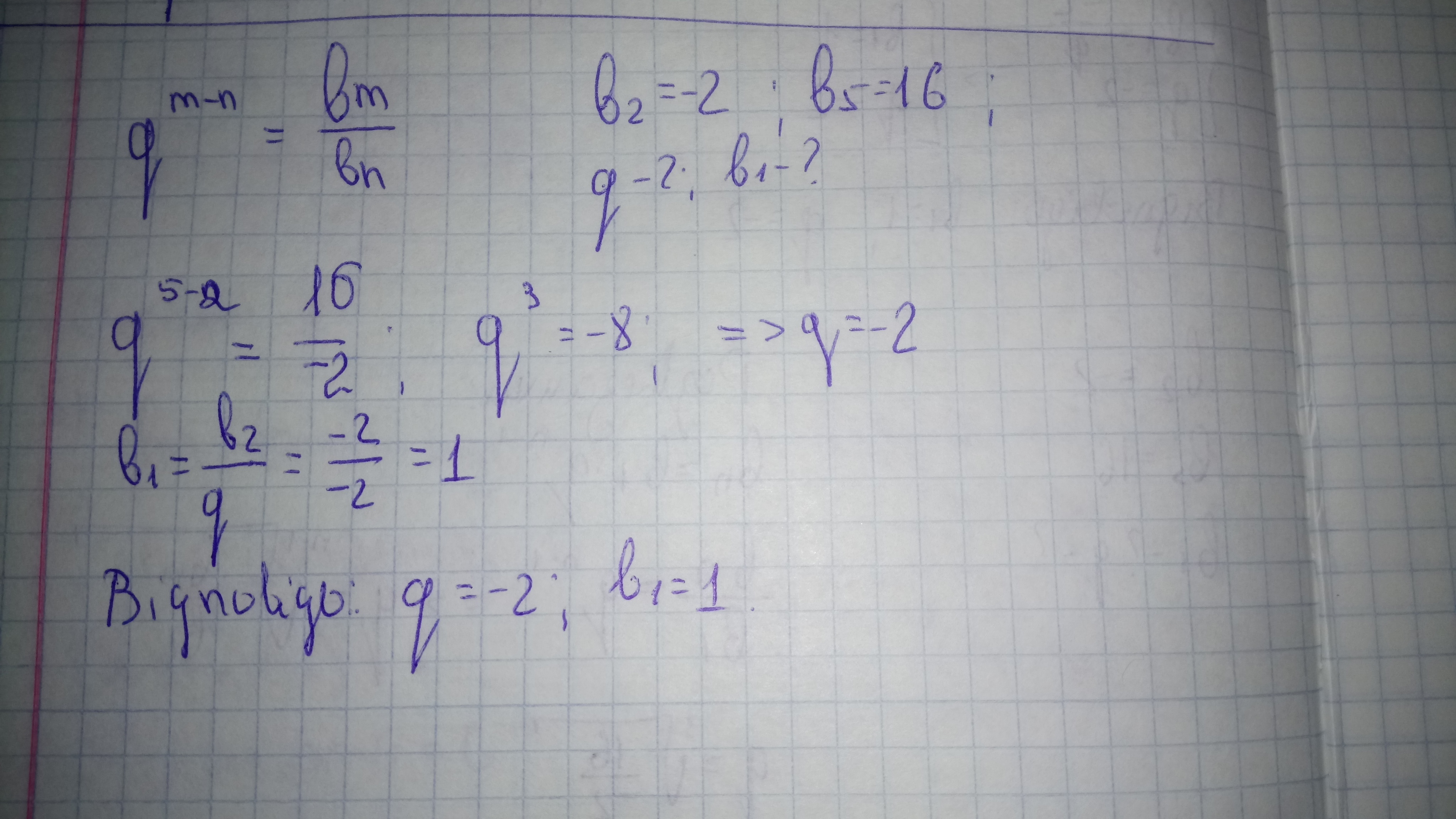
b2=b1*q
b5=b1*q^4
Составим систему:
b1*q=-2
b1*q^4=16
Разделим второе уравнение на первое
q^3=-8
q=-2
b1=b2/q
b1=-2/-2
b1=1
Ответ: b1=1; q=-2
Ответ дал:
0
Розв'язання завдання додаю.
Приложения:

Вас заинтересует
2 года назад
2 года назад
3 года назад
8 лет назад
8 лет назад
9 лет назад
9 лет назад