• Предмет: Математика
  • Автор: Jonnytypoi
  • Вопрос задан 8 лет назад

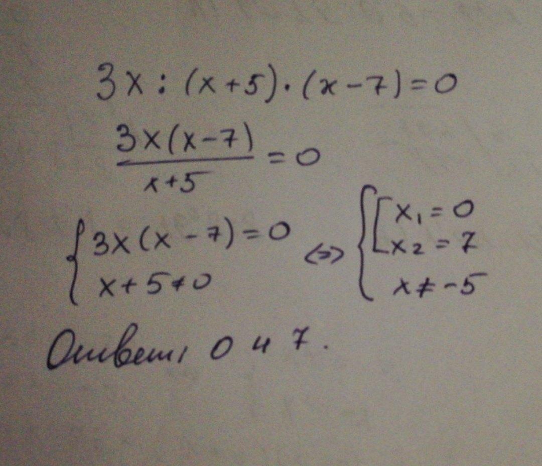
3x : (x+5) * (x-7) = 0

Ответы

Ответ дал: Юленька194
0

Пошаговое объяснение:

Приложения:
Вас заинтересует