• Предмет: Математика
  • Автор: yanka7745
  • Вопрос задан 8 лет назад

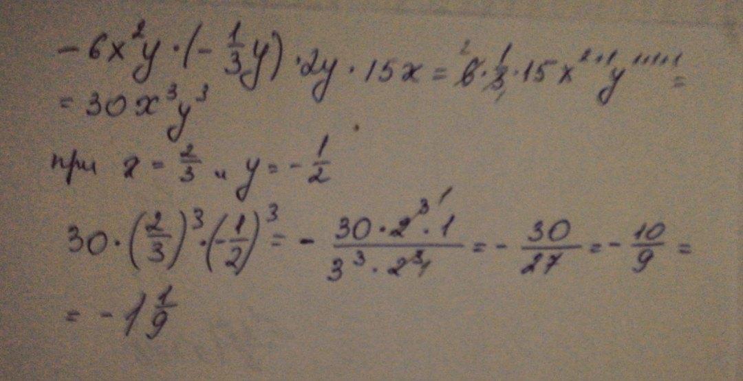
Помогите пожалуйста номер 1! ПРОШУ!!!! ОООЧЕНЬ СРОЧНО НУЖНО! Умоляю

Приложения:

Ответы

Ответ дал: Юленька194
0

Пошаговое объяснение:

Приложения:
Вас заинтересует