• Предмет: Алгебра
  • Автор: 4567890588689
  • Вопрос задан 8 лет назад

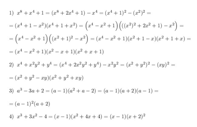
Көбейткіштерге жіктеңдер 5.143

Приложения:

Ответы

Ответ дал: NNNLLL54
0

Разложить на множители:

Приложения:
Вас заинтересует