• Предмет: Математика
  • Автор: Natalikaja
  • Вопрос задан 8 лет назад

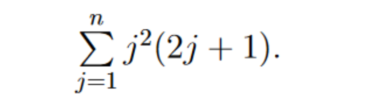
Вычислите сумму ряда

Приложения:

Ответы

Ответ дал: IrkaShevko
0

Ответ:

Пошаговое объяснение:

S = sumlimits_{j=1}^n j^2(2j+1) = sumlimits_{j=1}^n 2j^3+sumlimits_{j=1}^n j^2=\\=2(1^3+2^3+...+n^3)+(1^2+2^2+...+n^2)=2*dfrac{n^2(n+1)^2}{4} +dfrac{n(n+1)(2n+1)}{6} =\\=dfrac{n(n+1)}{6} (3n^2+3n+2n+1)=dfrac{n(n+1)(3n^2+5n+1)}{6}

Ответ дал: Natalikaja
0
Благодарю!!! Теперь понятно как решать! Очень помогли
Вас заинтересует