• Предмет: Алгебра
  • Автор: ОлесяЗерина
  • Вопрос задан 11 лет назад

Решить уравнения:

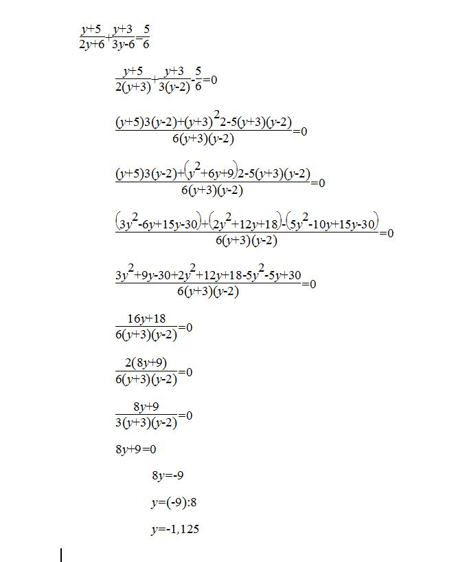
1.  frac{y+5}{2y+6} + frac{y+3}{3y-6} = frac{5}{6}

2. frac{y+5}{5y-20} + frac{y-4}{3y-6}= frac{3}{4}

Спасибо.

Ответы

Ответ дал: triolana
0
============================================
Приложения:
Вас заинтересует