• Предмет: Математика
  • Автор: bondarenkoirina579
  • Вопрос задан 8 лет назад

Решить
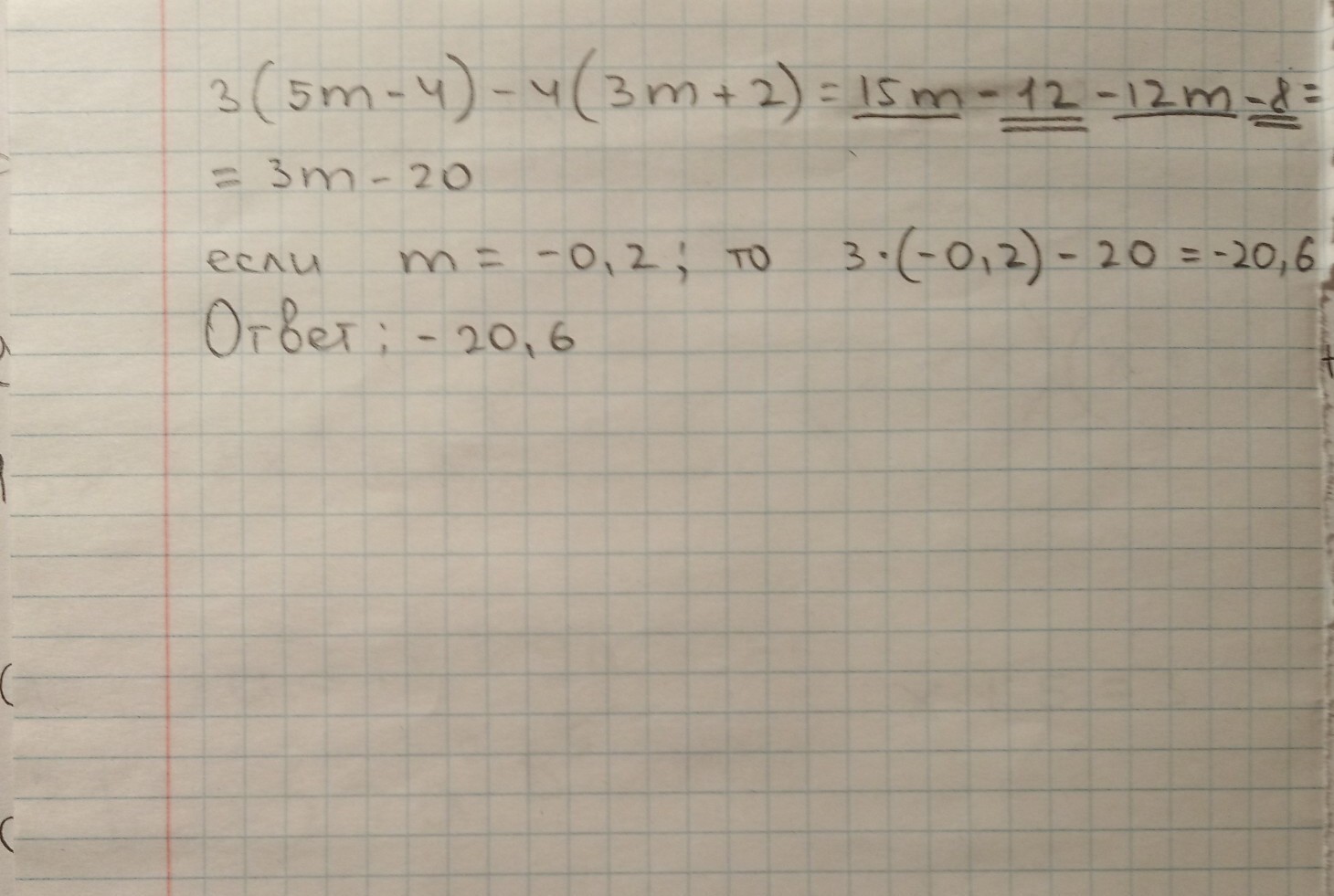
3*(5m-4)-4(3m+2)
если m=-0.2

Ответы

Ответ дал: Аноним
0
Вот, на фото все ответы, удачи тебе))
Приложения:
Вас заинтересует