Ответы
Ответ дал:
0
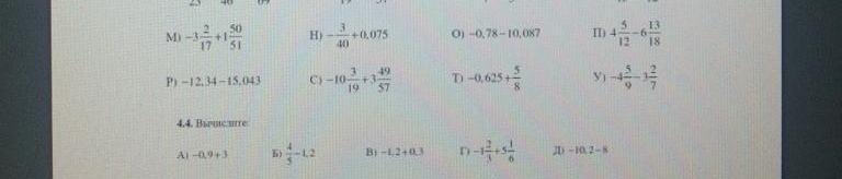
Н)ответ 0
О) ответ -10,867
П)ответ -83/36
Р)ответ -27,383
С)ответ -359/57
Т) ответ 0 (5/8=0,625)
У)ответ -494/63
О) ответ -10,867
П)ответ -83/36
Р)ответ -27,383
С)ответ -359/57
Т) ответ 0 (5/8=0,625)
У)ответ -494/63
Ответ дал:
0
А где р,с,т?
Ответ дал:
0
И у?
Ответ дал:
0
дабавила уже
Ответ дал:
0
Спасибо
Ответ дал:
0
Не за что
Ответ дал:
0
Р). -27,383
С). 1
Т). 0
У). -194/63
С). 1
Т). 0
У). -194/63
Вас заинтересует
2 года назад
2 года назад
3 года назад
3 года назад
9 лет назад
9 лет назад