• Предмет: Математика
  • Автор: s2006sansyzbaev
  • Вопрос задан 8 лет назад

Решите неравенства.
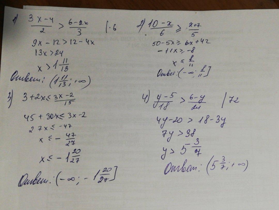
1) 3x-4/2 > 6-2x/3
2)10-x/6 > или = x+7/5
3)3+2x< или =3x-2/15
4)y-5/18>6-y/24
Решите пожалуйста!!

Ответы

Ответ дал: Юленька194
0

Пошаговое объяснение:

Приложения:
Вас заинтересует