Ответы
Ответ дал:
0
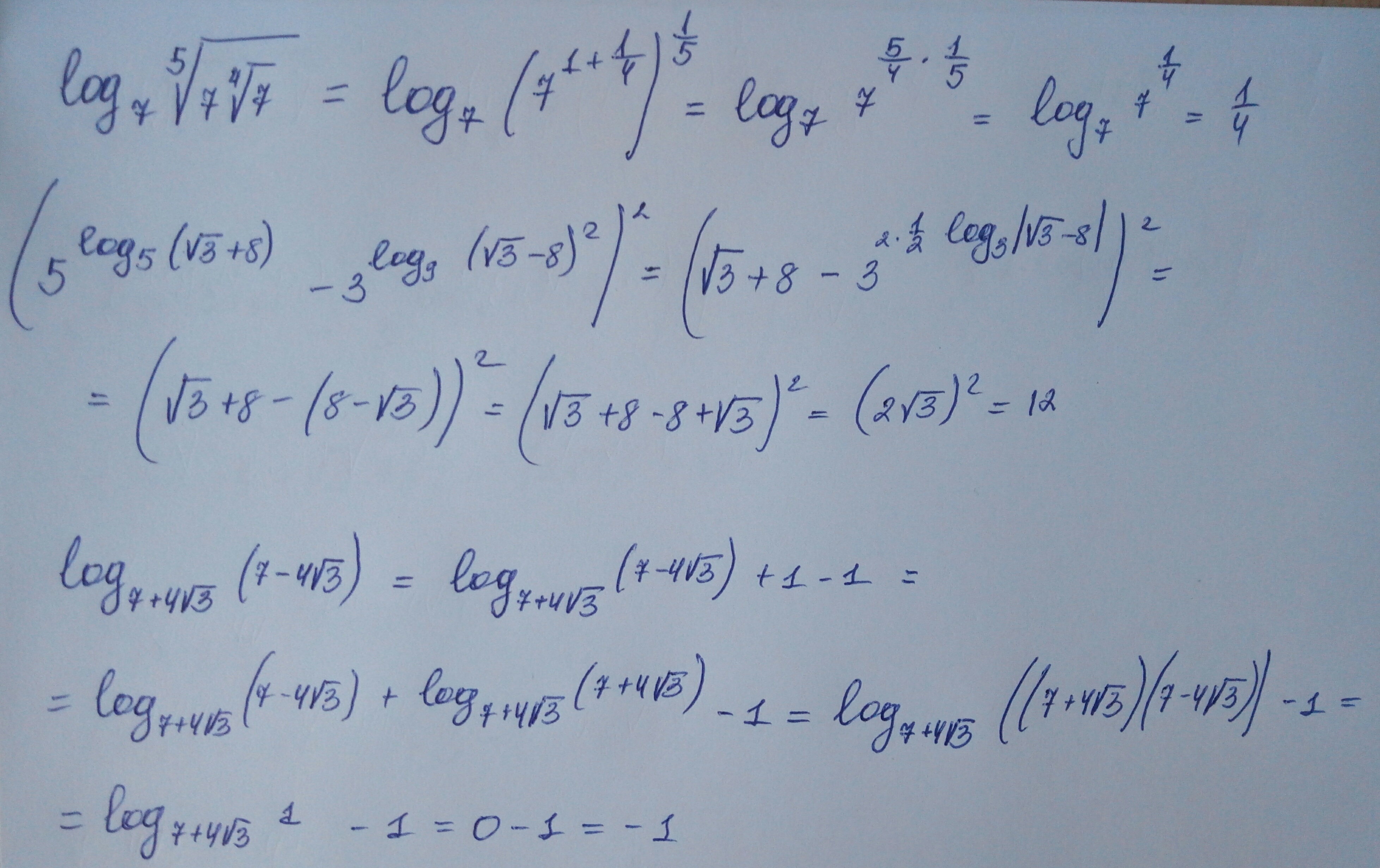
Ответ: на фото
Пошаговое объяснение:
Решения первого и второго исходит из определения логарифма. Во третьем необходимо к выражению прибавить и отнять единицу
Приложения:

Вас заинтересует
2 года назад
2 года назад
3 года назад
3 года назад
9 лет назад