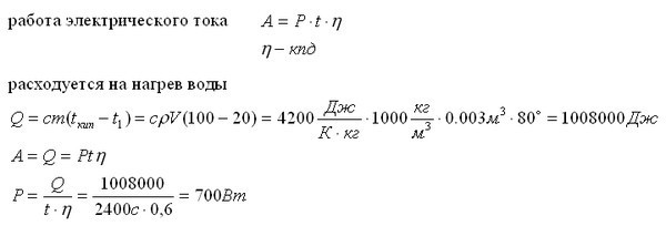
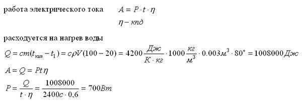
Определите мощность, потребляемую электрическим чайником, если в нем за 40 минут нагревается 3 л воды от 20 до кипения при КПД 60%
Ответы
Ответ дал:
0
Вот примеры!!!!!!!!!!!!!!!!!!!!!!!!!!!!!!!!!!!!!!!
Приложения:

Ответ дал:
0
Вот тут,и.к. Определяя можем выполнить всё так
Приложения:

Вас заинтересует
2 года назад
3 года назад
3 года назад
8 лет назад
8 лет назад
9 лет назад