• Предмет: Алгебра
  • Автор: 054654
  • Вопрос задан 8 лет назад

Нужно срочно решить это пример! Помогите плиззз... ​

Приложения:

Ответы

Ответ дал: 25hjoerf10
0

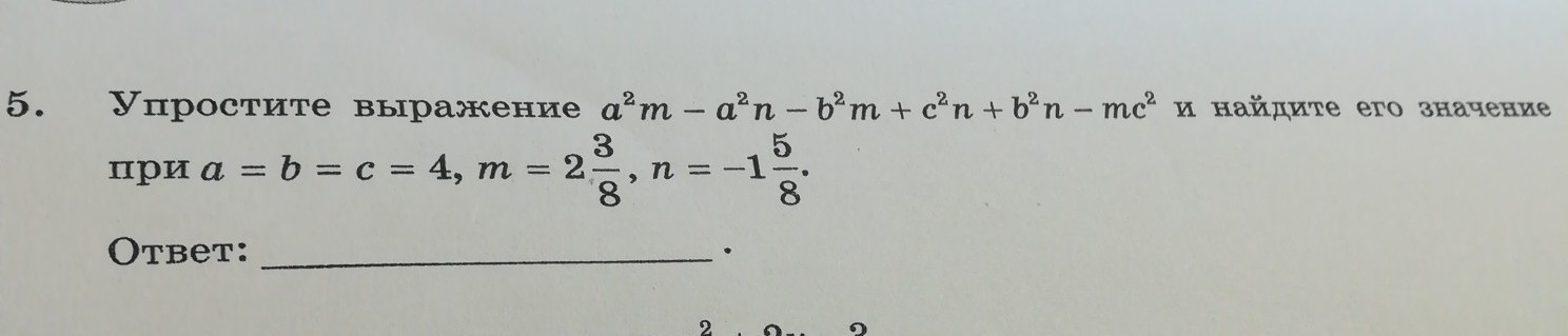
a²m - a²n - b²m + c²n + b²n - mc² = a²(m - n) - b²(m - n) - c²(m - n) =

= (m - n)(a² - b² - c²)

Т.к. a = b = c, то:

(m - n)(a² - b² - c²) = - a²(m -n)

-4^{2}*(2frac{3}{8}-(-1frac{5}{8})=-16(2frac{3}{8}+1frac{5}{8})=-16*3frac{8}{8}=-16*4=-64

Вас заинтересует