• Предмет: Геометрия
  • Автор: ianastepanenko
  • Вопрос задан 8 лет назад

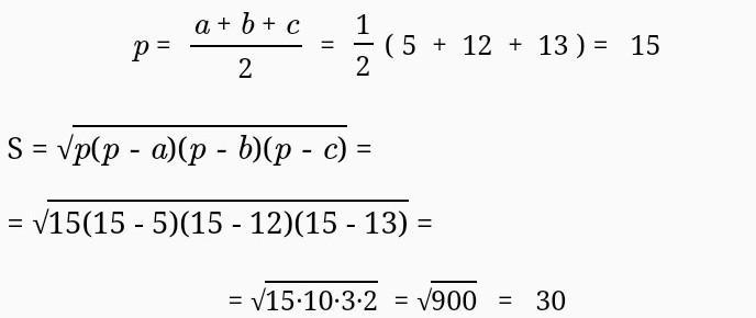
CA=5 см, CB=12 см, AB=13 см.

а) cosA=


(дробь не сокращай)

б) S(ABC)=
см2

Приложения:

Ответы

Ответ дал: nathsaa
0

а) cos A = AC/AB = 5/13

б) S ABC = (AC*BC)/2 = ( 5*12)/2 = 30 см²

Ответ дал: ianastepanenko
0
спасибоооо!!!!!!
Ответ дал: mary75567
0
 cos(a) = frac{ac}{ba}
Приложения:
Ответ дал: ianastepanenko
0
благодарю вас!!!!!!!
Ответ дал: mary75567
0
рада что вам помогла
Вас заинтересует