• Предмет: Алгебра
  • Автор: ника161616
  • Вопрос задан 8 лет назад

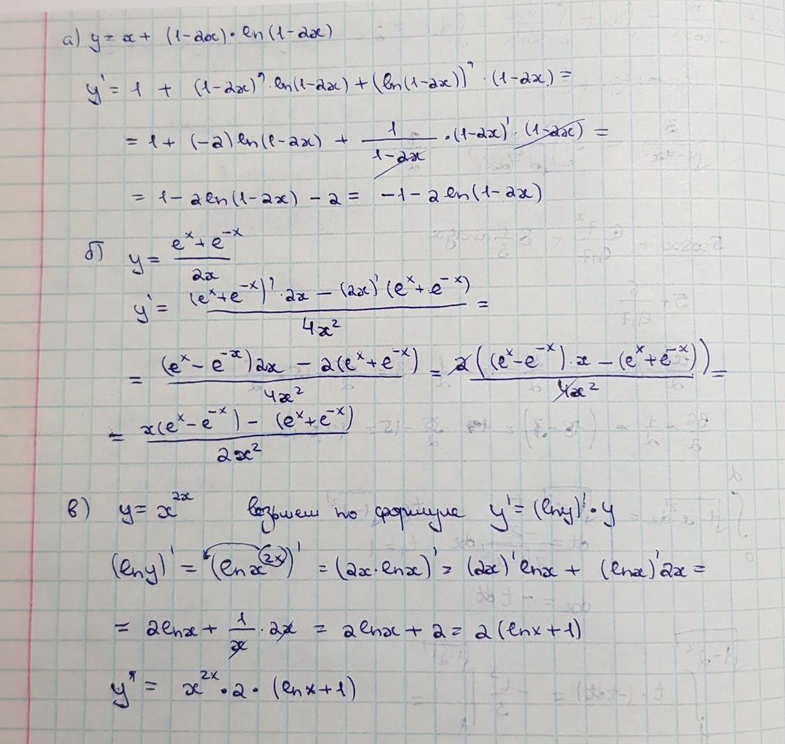
помогите решить, 40 баллов

Приложения:

Ответы

Ответ дал: Miroslava227
0
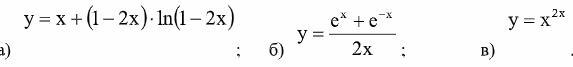
Как я поняла, производную найти?

решение на фото
Приложения:
Ответ дал: ника161616
0
Спасибо Вам огромное)
Вас заинтересует