• Предмет: Математика
  • Автор: farida330
  • Вопрос задан 8 лет назад

помогите пожалуйста ТОЛЬКО С ОБЪЯСНЕНИЕМ! ​

Приложения:

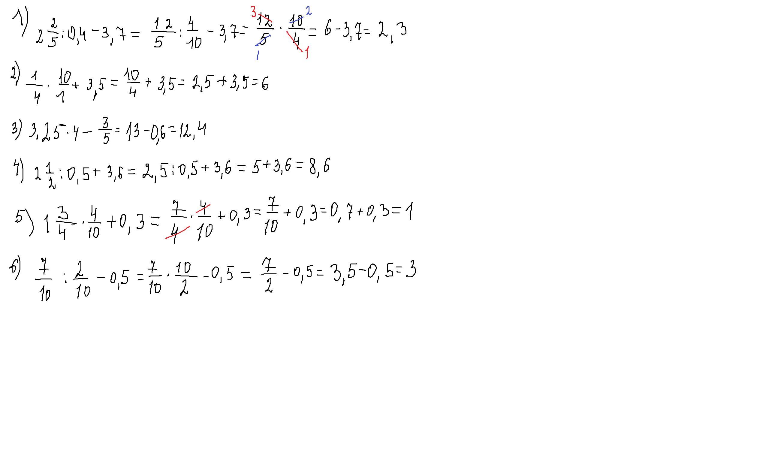
Ответы

Ответ дал: parus77
0

Ответ:

Пошаговое объяснение:

решение смотри внизу

Приложения:
Ответ дал: farida330
0
конечно мы так ещё не решаем но всё ровно спасибо за старение!
Ответ дал: parus77
0
а как вы решаете,я же не знаю,как вам нужно.В таком случае надо прилагать образец решения.Вы пишите 5-9 класс,это может быть и 6 и 7 кл.
Вас заинтересует