• Предмет: Алгебра
  • Автор: lord008
  • Вопрос задан 8 лет назад

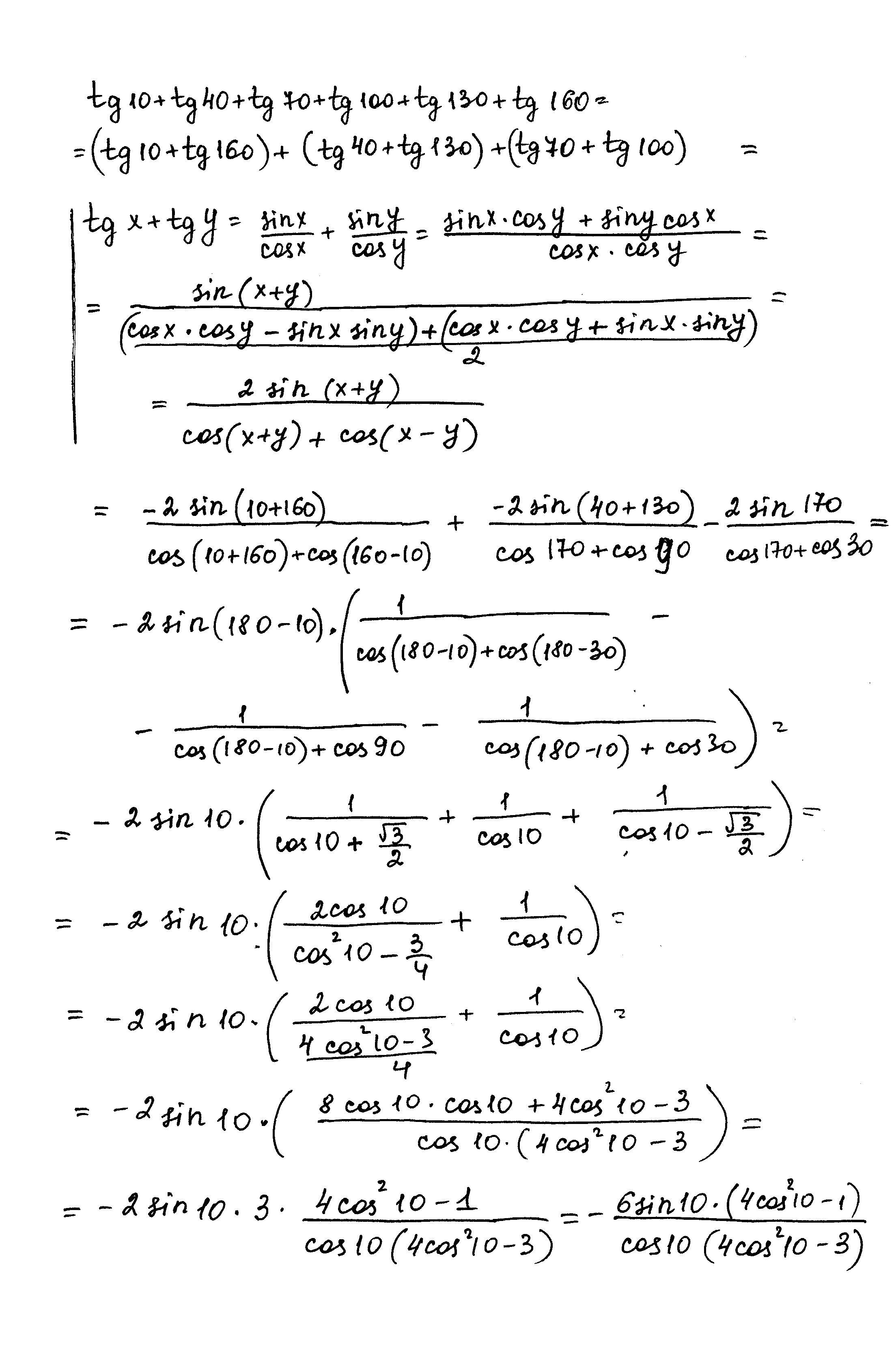
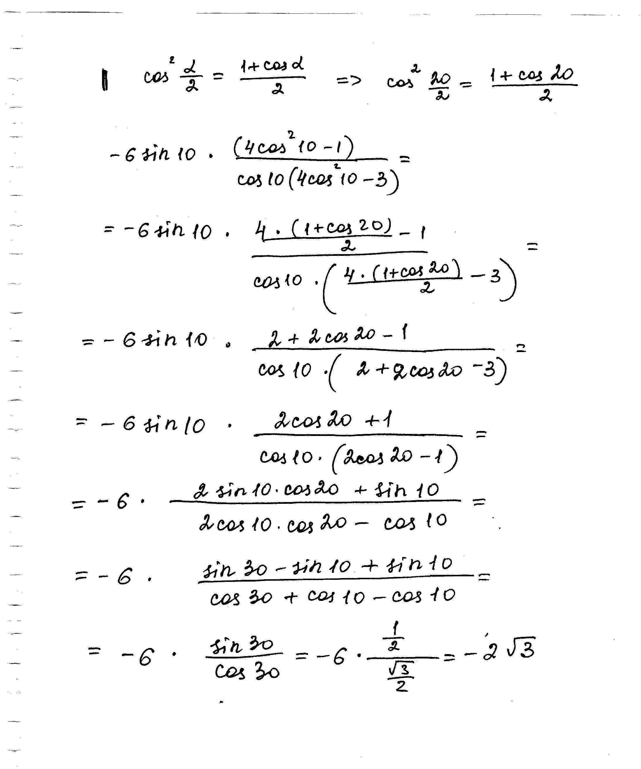
Выполните доказательства (см. прикрепленный файл).

Приложения:

Ответы

Ответ дал: maksimcat
0

ответ на фото\\\\\\\\\\\\\\\\\\\\

Приложения:
Ответ дал: lord008
0
Спасибо большое! А другие не знаете, как решить?
Ответ дал: lord008
0
А подскажите пожалуйста, почему в 6 строчке и далее перед 2sin(...) стоит минус? Откуда он?
Вас заинтересует