• Предмет: Алгебра
  • Автор: baxtagareev
  • Вопрос задан 8 лет назад

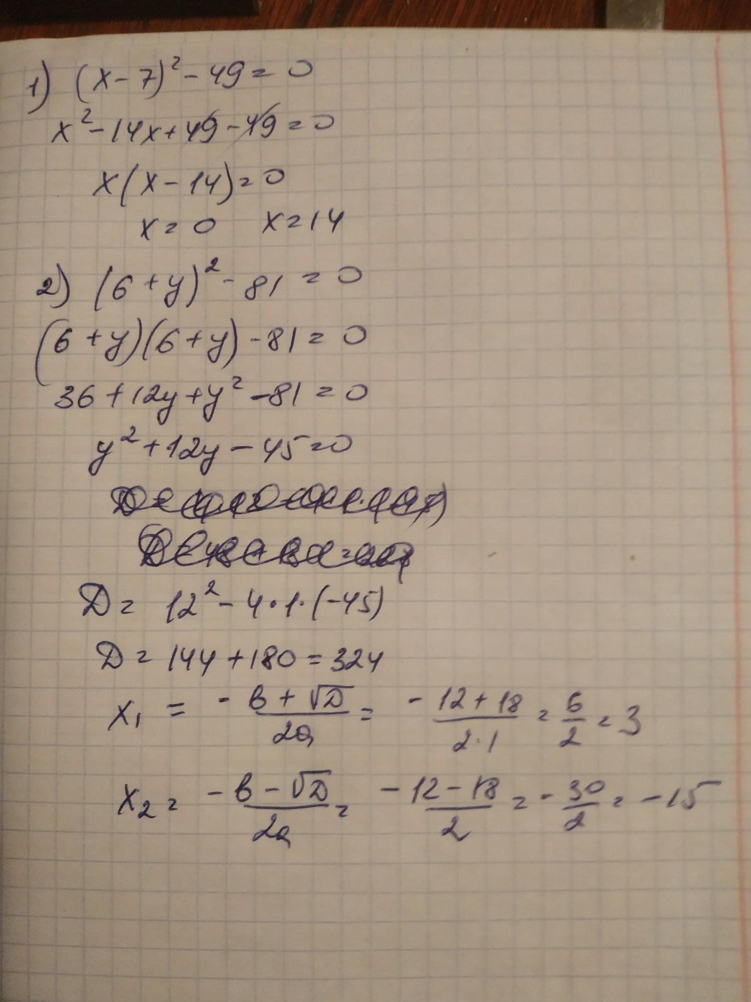
Найдите корни уравнения:
1)(х-7)^2-49=0
2)(6+у)^2-81=0
решите только без использования фото математики
и посторонних програм
один пример 10 баллов всего два примера решите пожалуйста

Ответы

Ответ дал: kruglenkonata804
0

-----------------------------------------

Приложения:
Ответ дал: kruglenkonata804
0
в профиле у тебя нет же вопросов
Ответ дал: kruglenkonata804
0
кидай посмотрю
Ответ дал: baxtagareev
0
сейчас
Ответ дал: kruglenkonata804
0
и тод же вопрос?
Ответ дал: kruglenkonata804
0
зачем опять его ?
Вас заинтересует