• Предмет: Алгебра
  • Автор: ника161616
  • Вопрос задан 8 лет назад

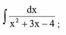
Помогите пожалуйста решить

Приложения:

Ответы

Ответ дал: lidiasaraa3
0

х²+3х-4=0

х1=-4;х2=1;

х²+3х-4=(х+4)(х-1)

Приложения:
Вас заинтересует