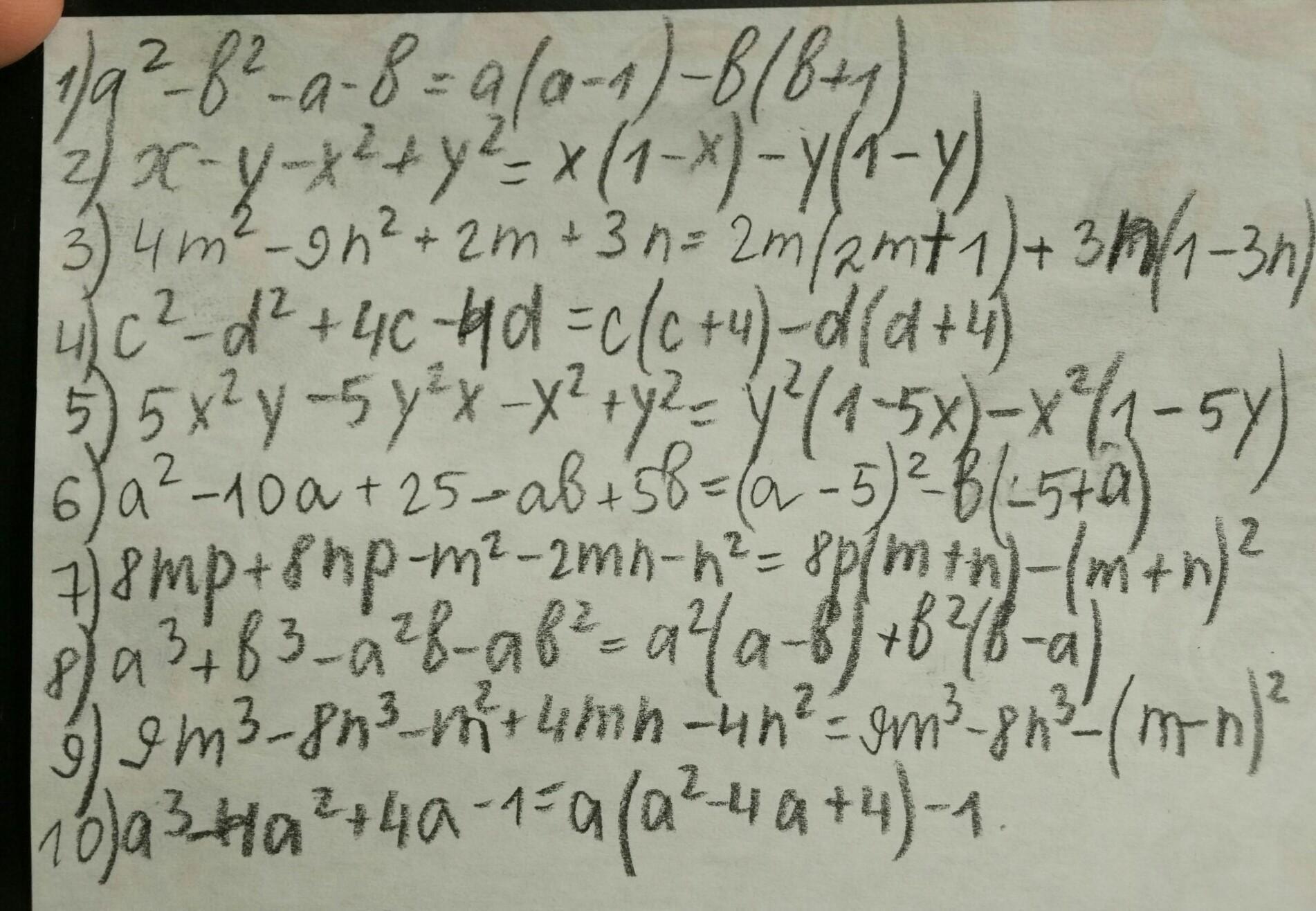
Разложите на множители: 1)а^2- b^2- а-b;2)x-y-x^2+y^2;3)4m^2-9n^2+2m+3n;4)c^2-d^2+4c-4d;5)5x^2y-5xy^2-x^2+y^2;6)a^2-10a+25-ab+5b;7)8mp+8np-m^2-2mn-n^2;8)a^3+b^3-a^2b-ab^2;9)m^3-8n^3-m^2+4mn-4n^2;10)a^3-4a^2+4a-1
Приложения:

Ответы
Ответ дал:
0
.....,................
Приложения:

Вас заинтересует
2 года назад
2 года назад
3 года назад
3 года назад
8 лет назад
8 лет назад
9 лет назад