• Предмет: Алгебра
  • Автор: 16102004vikaozu39i
  • Вопрос задан 8 лет назад

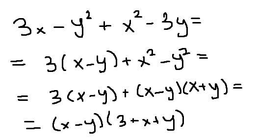
Разложите на множители многочлен 3x-y^2+x^2-3y.

Ответы

Ответ дал: rat1k
0

обычный способ группировки

Приложения:
Ответ дал: Persianka
0

3(x-y)+x²-y²=3(x-y)+(x-y)(x+y)=(x-y)(3+x+y)

Приложения:
Вас заинтересует