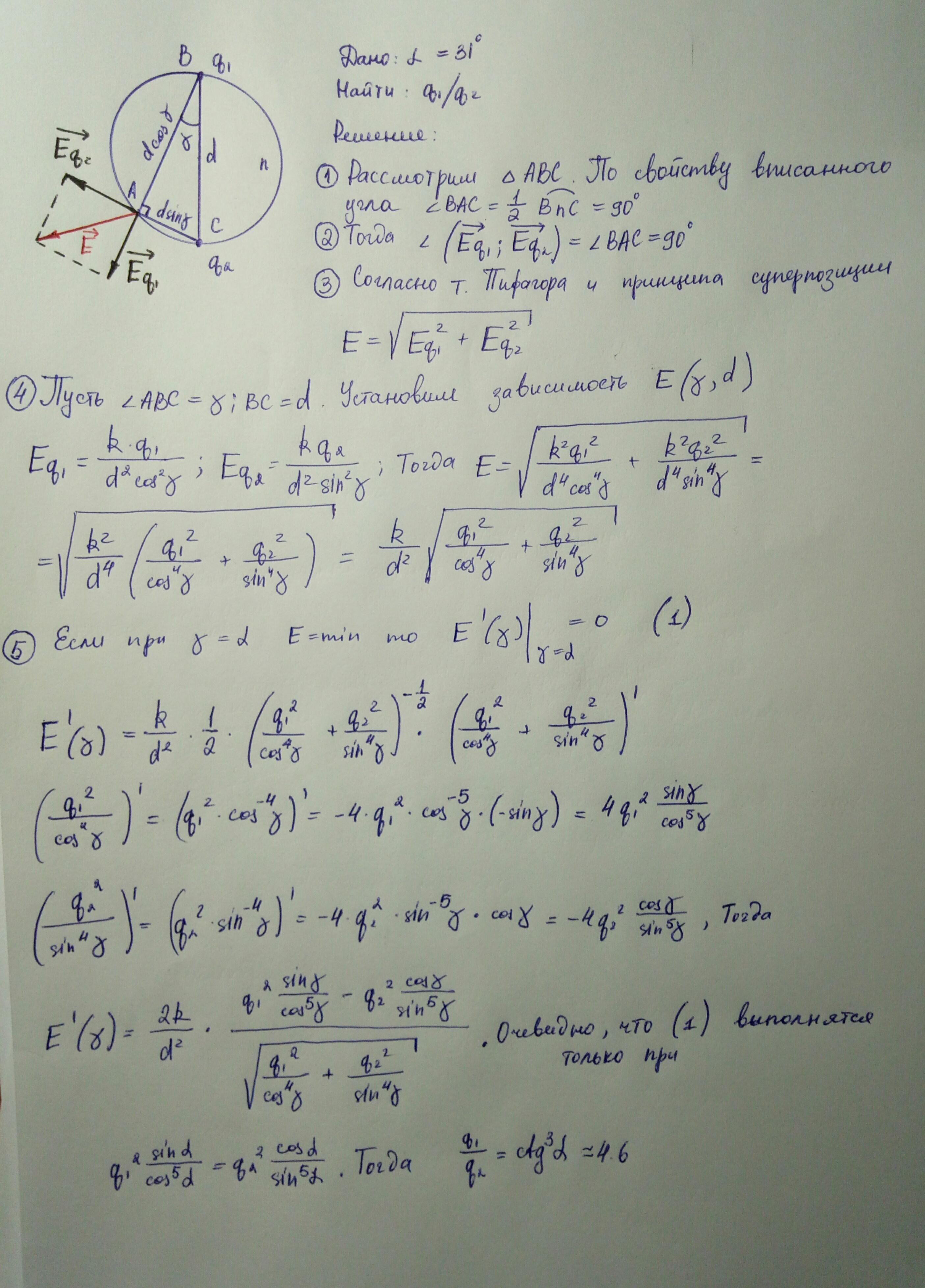
На противоположных концах диаметра некоторой окружности закреплены два точечных положительных заряда q1 и q2
Приложения:

Ответы
Ответ дал:
0
Ответ: 4.6. Подробное решение на фото
Приложения:

Вас заинтересует
2 года назад
2 года назад
8 лет назад
8 лет назад