Ответы
Ответ дал:
0
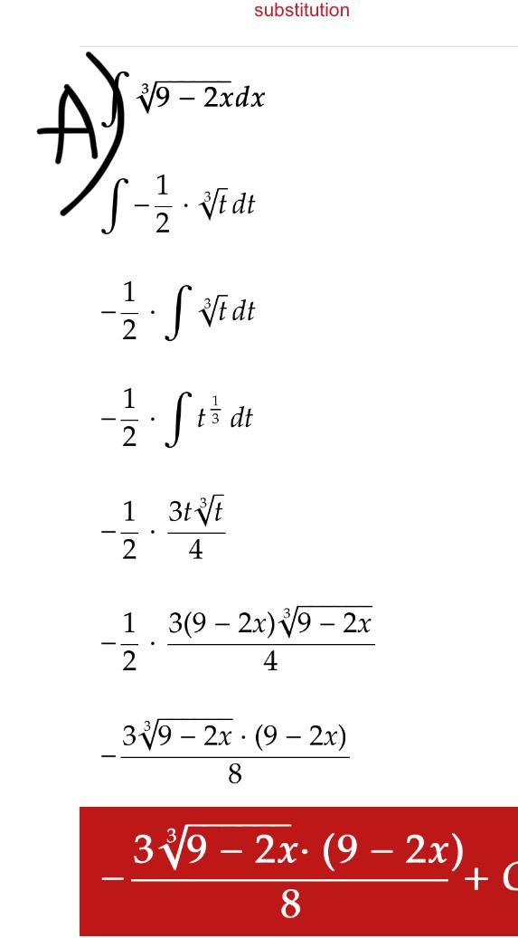
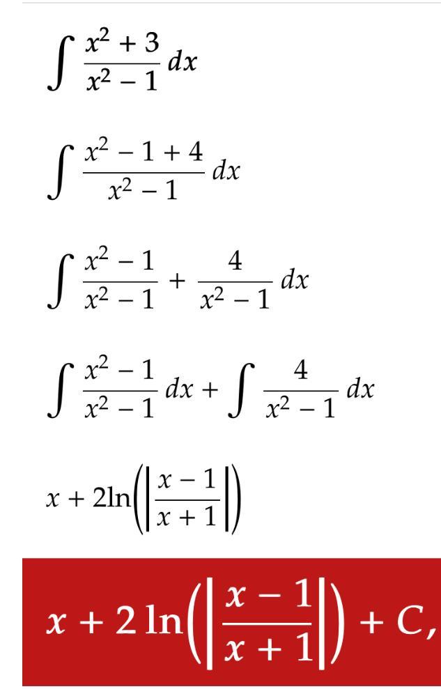
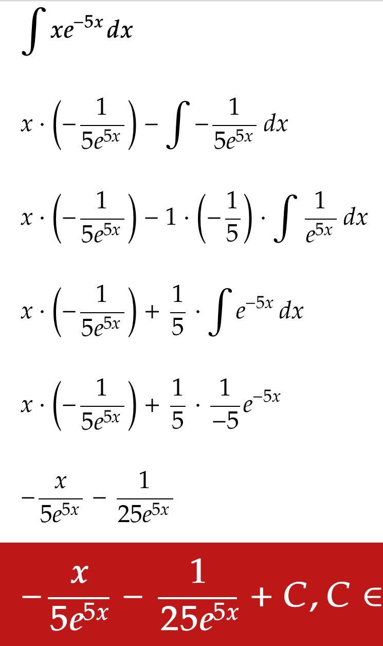
Решение прикрепил..................
Приложения:




Ответ дал:
0
Спасибо. С этими интегралами поможешь? https://znanija.com/task/31743823
Вас заинтересует
2 года назад
2 года назад
3 года назад
8 лет назад
8 лет назад
9 лет назад