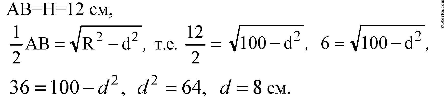
Высота цилиндра равна 12, а радиус основания равен 10. Цилиндр пересечено плоскостью, параллельно его оси так, что в сечении образовался квадрат. Найти расстояние от оси цилиндра до секущей плоскости.
Ответы
Ответ дал:
0
Пусть H=12 см, R=10 см, АА1В1В — квадрат.
Приложения:


Вас заинтересует
2 года назад
3 года назад
3 года назад
8 лет назад
9 лет назад