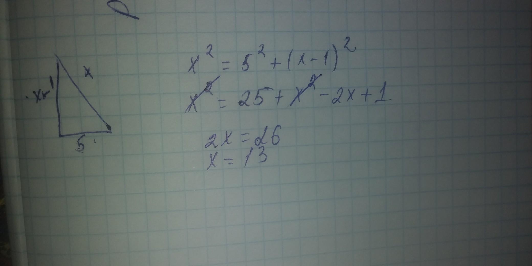
Один из катетов прямоугольного треугольника на 1 см меньше гипотенузы, а второй катет равен 5 см. Найти гипотенузу треугольника
Ответы
Ответ дал:
0
пожалуйста)))))))))))))
Приложения:

Вас заинтересует
2 года назад
2 года назад
3 года назад
8 лет назад
8 лет назад