• Предмет: Математика
  • Автор: whatislovee
  • Вопрос задан 8 лет назад

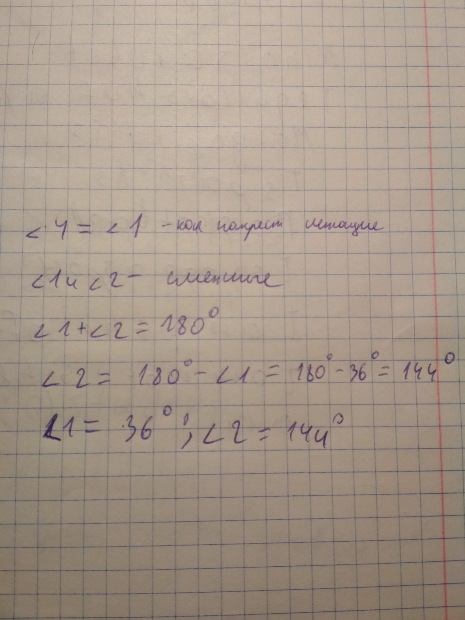
определите угол 1 и угол 2, если прямые c и b параллельны и известно, что угол 4 равен 36 градусов​

Приложения:

Ответы

Ответ дал: agentcru
0

угол1=36° угол2=144°

Приложения:
Вас заинтересует