• Предмет: Алгебра
  • Автор: thebestmunited
  • Вопрос задан 8 лет назад

решите алгебру 7 класс Узбекистан стр. 134 все номера (№ 469-475)
ДАЮ 70 баллов!!!!

Ответы

Ответ дал: maria13521
0
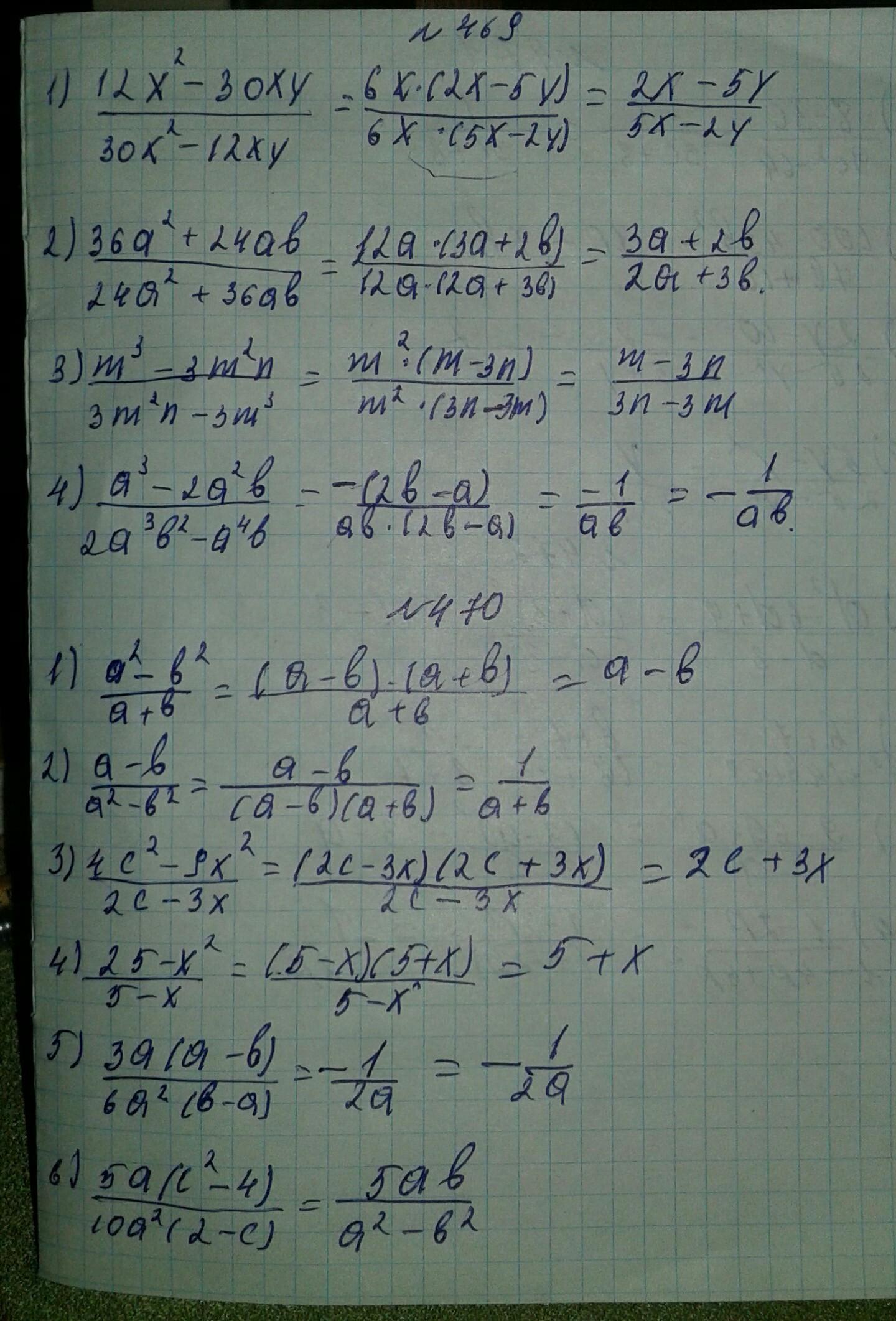
У меня есть все кроме #474.
Желаю удачи...
Приложения:
Ответ дал: 14katoriiaanashkina
0

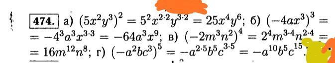
Вот решение. 474 ) удачи

Приложения:
Вас заинтересует