Ответы
Ответ дал:
0
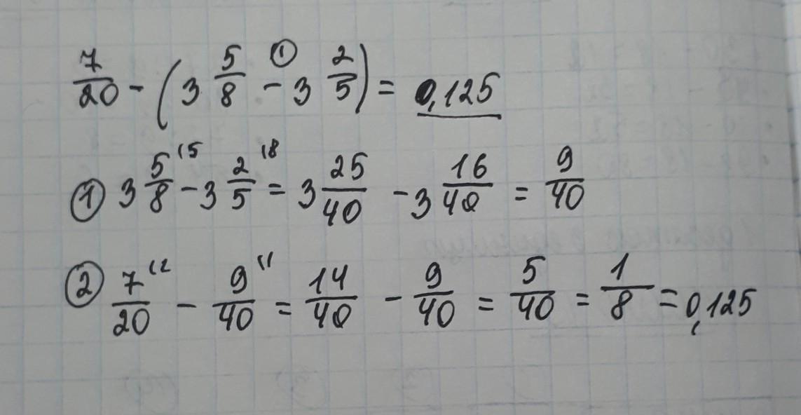
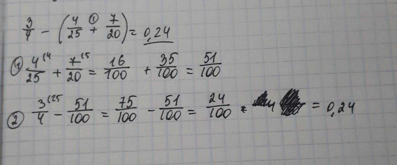
Решение на фото!
_______________________________
удачи))
Понравилось решение?Жми ЛУЧШИЙ!)
Приложения:


Вас заинтересует
2 года назад
2 года назад
3 года назад
8 лет назад
8 лет назад
9 лет назад