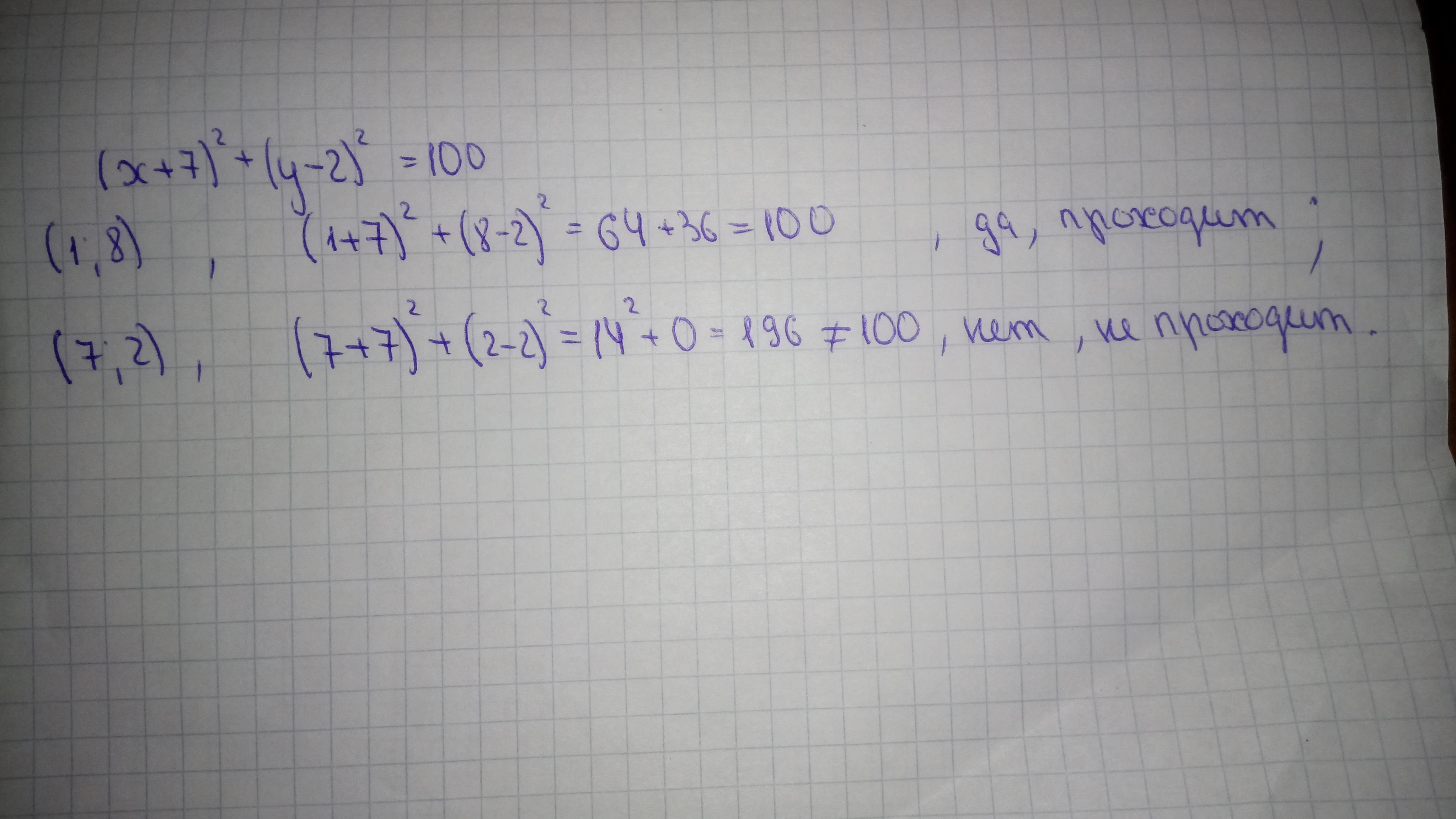
Проходит ли окружность заданная уравнением (x+7)^2+(y-2)^2=100 через точки (1;8) и (7;2) Пожалуйста напишите
Ответы
Ответ дал:
0
Решение задания приложено
Приложения:
Вас заинтересует
2 года назад
2 года назад
3 года назад
3 года назад
9 лет назад
9 лет назад
10 лет назад