• Предмет: Алгебра
  • Автор: tghipaldg
  • Вопрос задан 8 лет назад

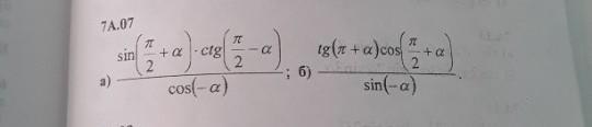
помогите пожалуйста срочно надо ​тригонометрия или а или б без разницы

Приложения:

Ответы

Ответ дал: sadikovaalsu2003
0

sin(П/2+а)*ctg(П/2-а)/cos(-a)=cos(a)*tan(a)/cos(a)=tan(a)

tg(П+а) *cos(П/2+а)/sin(-a)=tan(a)*(-sin(a))/-sin(a)=tan(a)

Вас заинтересует