• Предмет: Алгебра
  • Автор: SmileCookie
  • Вопрос задан 8 лет назад

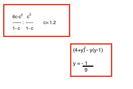
Алгебра 8 класс!!! Два примера! 25 баллов!!

Приложения:

Ответы

Ответ дал: Juliaa21
0

1)\frac{6c-c^2}{1-c} :frac{c^2}{1-c} =frac{c(6-c)*(1-c)}{(1-c)*c^2} =frac{6-c}{c} \\c=1.2\\frac{6-1.2}{1.2}=frac{4.8}{1.2}=4\\Otvet:4\\2)\(4+y)^2-y(y-1)=16+8y+y^2-y^2+y=9y+16\\y=-frac{1}{9}\ \9*(-frac{1}{9})+16=-1+16=15\\Otvet: 15

Вас заинтересует