Ответы
Ответ дал:
0
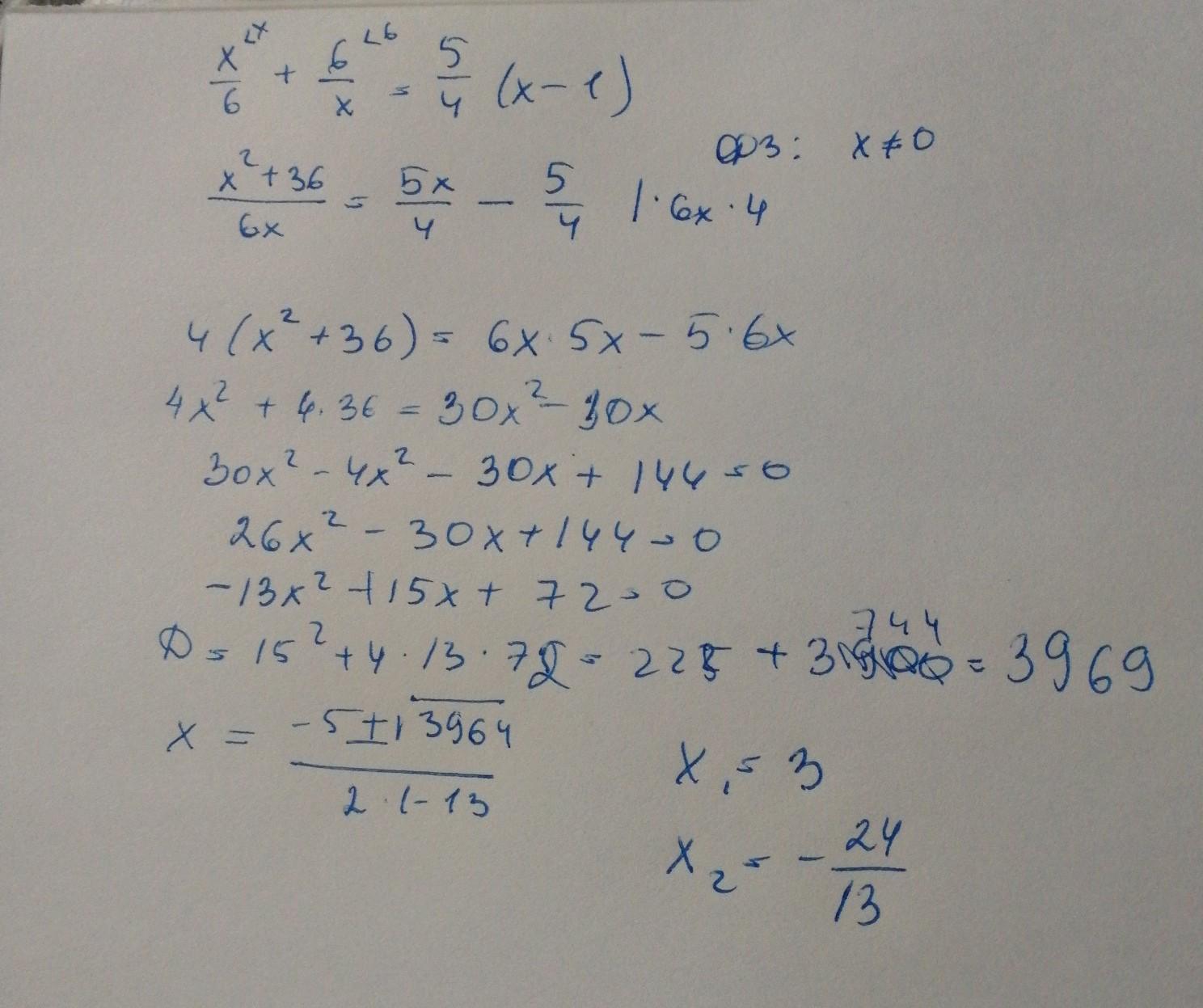
Решение на фотографии
Приложения:

Ответ дал:
0
-144, не плюс. Тогда 13х^2-15х-72=0
Ответ дал:
0
Д = 15^2-4*13*-72=3969
Ответ дал:
0
Решение
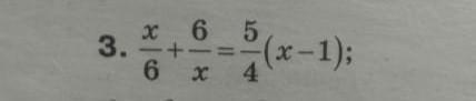
х/6+6/х=5/4*(х-1)
Распределим 5/4 через скобки
х/6+6/х=5/4*х-5/4
Переместим выражение в левую часть и изменим его знак
х/6+6/х-5/4*х+5/4=0
Вычислим разность
-13/12*х+6/х+5/4=0
Запишем все числители над наименьшим общим знаменателем 12х
-13х²+72+15х/12х=0
Когда частное выражений равно 0, то числитель должен быть равным 0
-13х²+72+15х=0
Используем переместительный закон, чтобы изменить порядок членов
-13х²+15х+72=0
Изменим знаки обеих частей уравнения
13х²-15х-72=0
Д=-15²-4*13*(-72)=3969
Вычислим квадратный корень
х=15±63/26
Отделим выражения и упростим их
х=15+63/26=3
х=15-63/26=-24/13
Ответ х1=-24/13 , х2=3
Приложения:

Вас заинтересует
2 года назад
3 года назад
8 лет назад
8 лет назад
9 лет назад