• Предмет: Алгебра
  • Автор: yana057833
  • Вопрос задан 8 лет назад

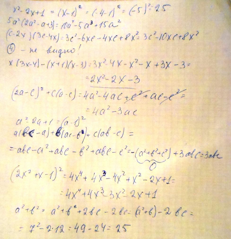
Решите плиз,очень срочно! Дам 34 балла,4 варик

Приложения:

Ответы

Ответ дал: miron2077
0

!!!!!!!!!!!!!!!1!!!!!!!!!!!!!11

Приложения:
Ответ дал: yana057833
0
Вау!ты быстро,спасибо!
Ответ дал: miron2077
0
плохо видно 4
Ответ дал: yana057833
0
Щас пришлю
Ответ дал: yana057833
0
(а+b)во 2 степени
Ответ дал: miron2077
0
(а+в)^2=a^2+2ав+в^2
Вас заинтересует